mp-18199-2/Sr3TaAs3O/anharm

Equation of state

../../_images/fig_bm6907.png

(a) Equation of state

Harmonic properties

../../_images/fig_bandos_pr13808.png

(a) Phonon dispersion with participation ratio and DOS

../../_images/fig_thermo13808.png

(b) Thermodynamic properties

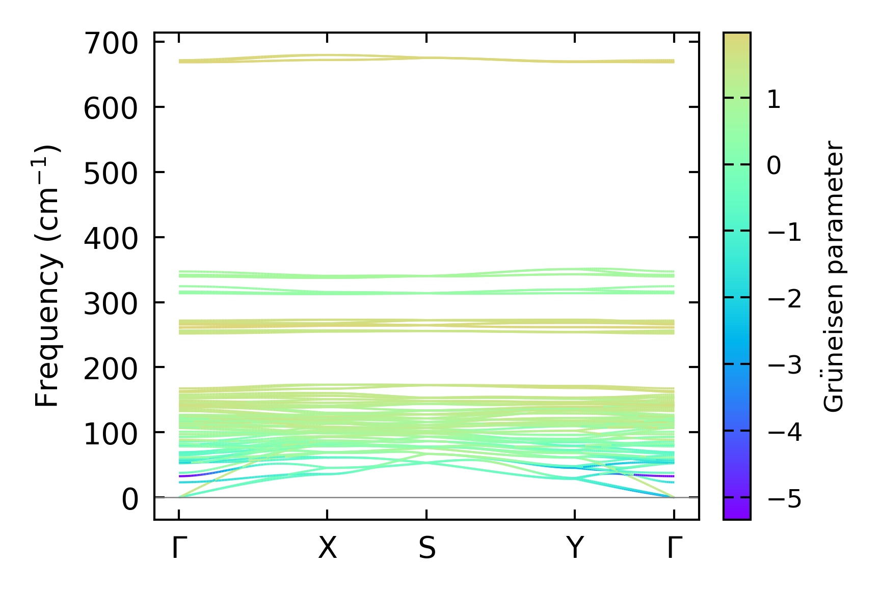
Grüneisen parameters

../../_images/fig_gru_all5821.png

(a) Grüneisen parameters

../../_images/fig_gruneisen5821.png

(b) Phonon dispersion with Grüneisen parameters

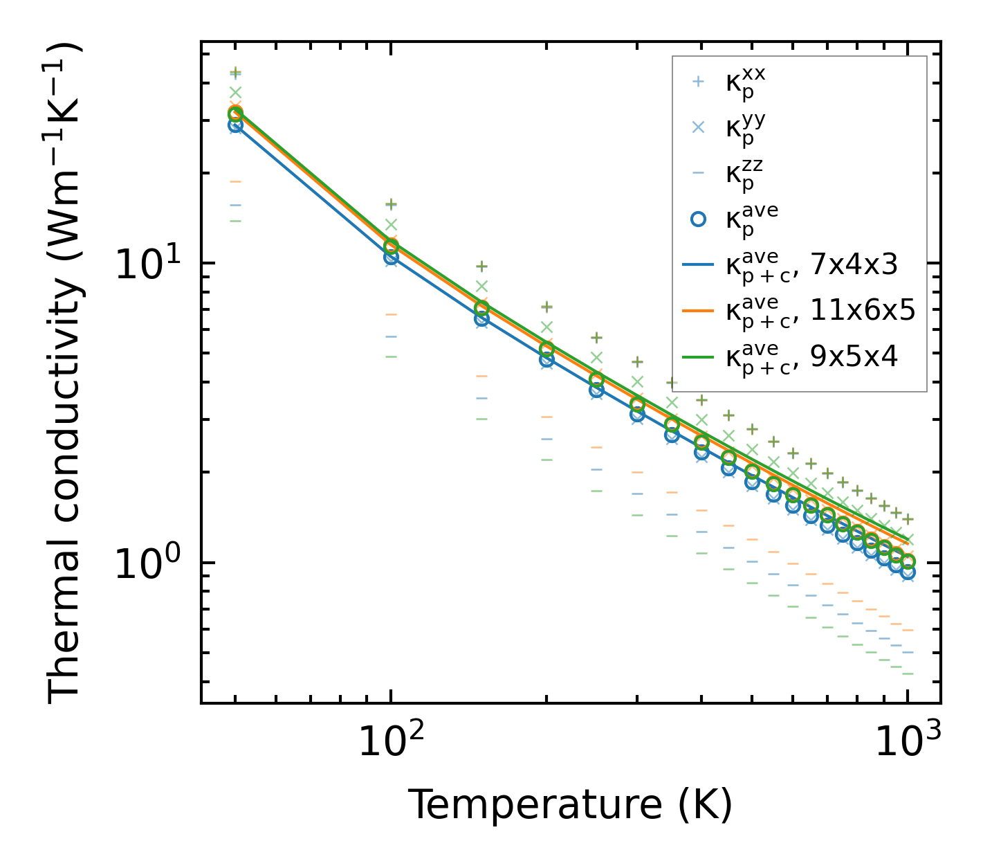
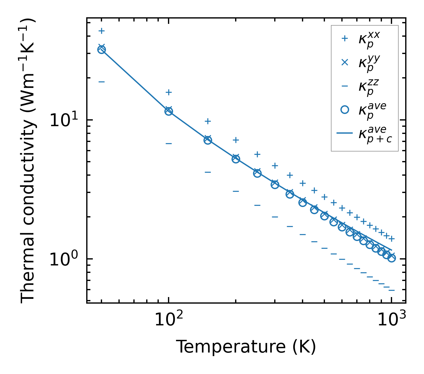
Thermal conductivity

3-phonon (LASSO) — q-mesh: 11x6x5, supercell: 2x2x1

../../_images/fig_kappa10947.png

(a) Temperature-dependent lattice thermal conductivity

../../_images/fig_kappa_vs_grain_size5893.png

(b) Peierls lattice thermal conductivity w.r.t grain size

Phonon lifetime and scattering rates

../../_images/fig_lifetime5765.png

(a) Phonon lifetime due to phonon-phonon scattering

../../_images/fig_scat_rates5764.png

(b) Phonon scattering rates

Cumulative and spectral thermal conductivity

../../_images/fig_cumu_frequency5765.png

(a) Spectral and cumulative thermal conductivity w.r.t frequency

../../_images/fig_cumu_mfp5764.png

(b) Spectral and cumulative thermal conductivity w.r.t MFP

Force constants

../../_images/fig_fc213436.png

(a) Force constants w.r.t atomic distance

Summary

../../_images/fig_kappa10948.png

(a) Temperature-dependent lattice thermal conductivity

../../_images/fig_times23157.png

(b) Computation time