mp-18219/Dy2SiSeO4/anharm

Harmonic properties

../../_images/fig_bandos_pr13810.png

(a) Phonon dispersion with participation ratio and DOS

../../_images/fig_thermo13810.png

(b) Thermodynamic properties

Grüneisen parameters

../../_images/fig_gru_all5823.png

(a) Grüneisen parameters

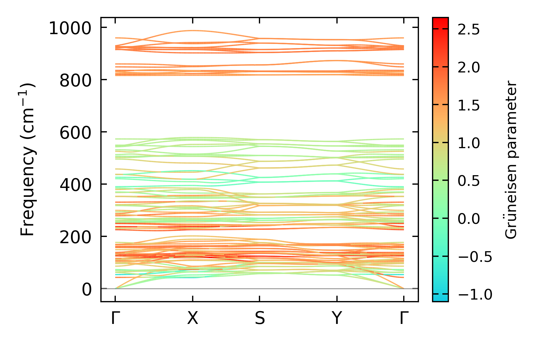
../../_images/fig_gruneisen5823.png

(b) Phonon dispersion with Grüneisen parameters

Thermal conductivity

3-phonon (LASSO) — q-mesh: 12x10x6, supercell: 2x2x1

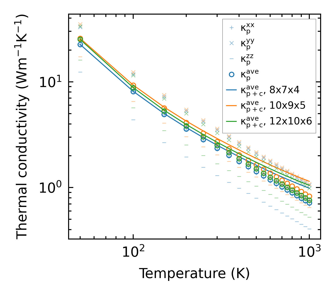
../../_images/fig_kappa10951.png

(a) Temperature-dependent lattice thermal conductivity

../../_images/fig_kappa_vs_grain_size5895.png

(b) Peierls lattice thermal conductivity w.r.t grain size

Phonon lifetime and scattering rates

../../_images/fig_lifetime5767.png

(a) Phonon lifetime due to phonon-phonon scattering

../../_images/fig_scat_rates5766.png

(b) Phonon scattering rates

Cumulative and spectral thermal conductivity

../../_images/fig_cumu_frequency5767.png

(a) Spectral and cumulative thermal conductivity w.r.t frequency

../../_images/fig_cumu_mfp5766.png

(b) Spectral and cumulative thermal conductivity w.r.t MFP

Force constants

../../_images/fig_fc213438.png

(a) Force constants w.r.t atomic distance

Summary

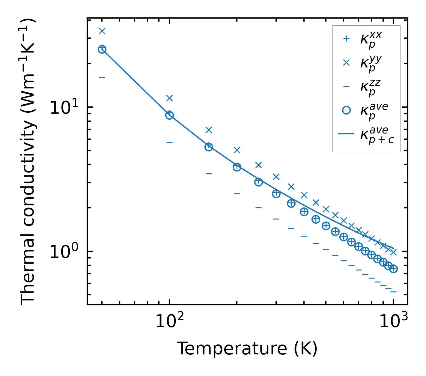
../../_images/fig_kappa10952.png

(a) Temperature-dependent lattice thermal conductivity

../../_images/fig_times23163.png

(b) Computation time