mp-18327-2/Ba2Tl2O5/anharm

Equation of state

../../_images/fig_bm6929.png

(a) Equation of state

Harmonic properties

../../_images/fig_bandos_pr13841.png

(a) Phonon dispersion with participation ratio and DOS

../../_images/fig_thermo13841.png

(b) Thermodynamic properties

Grüneisen parameters

../../_images/fig_gru_all5843.png

(a) Grüneisen parameters

../../_images/fig_gruneisen5843.png

(b) Phonon dispersion with Grüneisen parameters

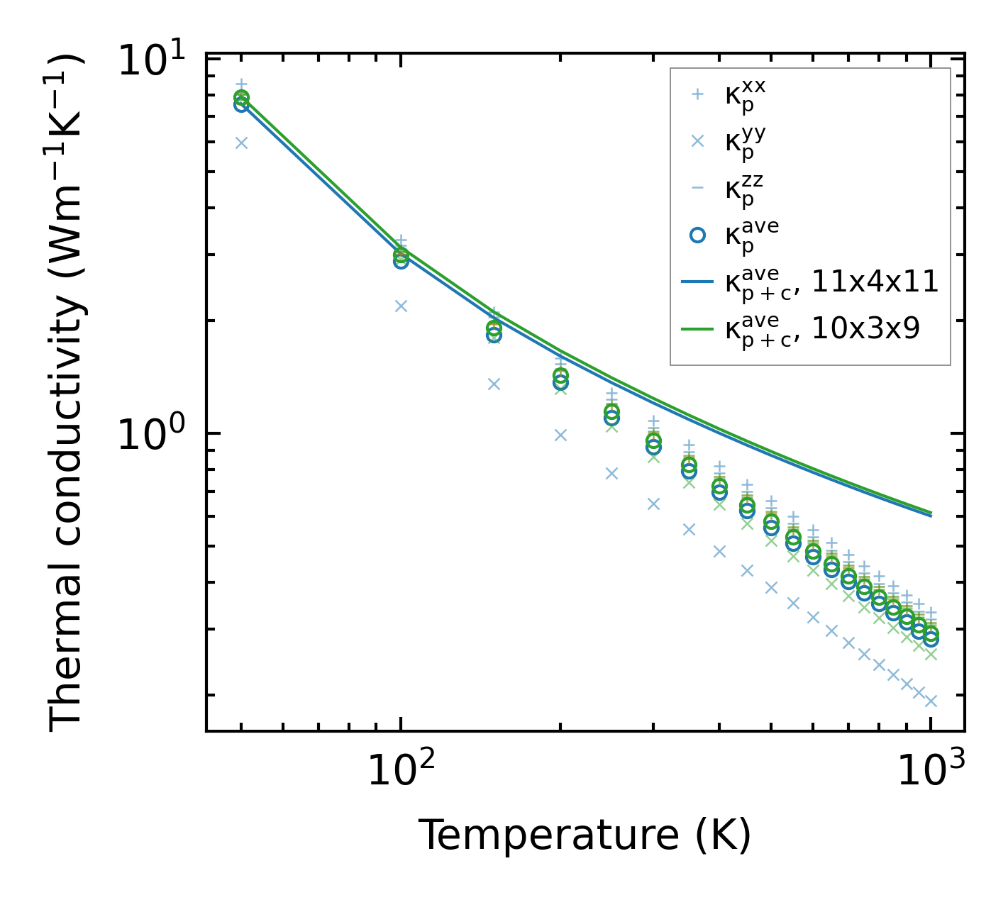
Thermal conductivity

3-phonon (LASSO) — q-mesh: 11x4x11, supercell: 2x1x2

../../_images/fig_kappa10990.png

(a) Temperature-dependent lattice thermal conductivity

../../_images/fig_kappa_vs_grain_size5916.png

(b) Peierls lattice thermal conductivity w.r.t grain size

Phonon lifetime and scattering rates

../../_images/fig_lifetime5786.png

(a) Phonon lifetime due to phonon-phonon scattering

../../_images/fig_scat_rates5785.png

(b) Phonon scattering rates

Cumulative and spectral thermal conductivity

../../_images/fig_cumu_frequency5786.png

(a) Spectral and cumulative thermal conductivity w.r.t frequency

../../_images/fig_cumu_mfp5785.png

(b) Spectral and cumulative thermal conductivity w.r.t MFP

Force constants

../../_images/fig_fc213469.png

(a) Force constants w.r.t atomic distance

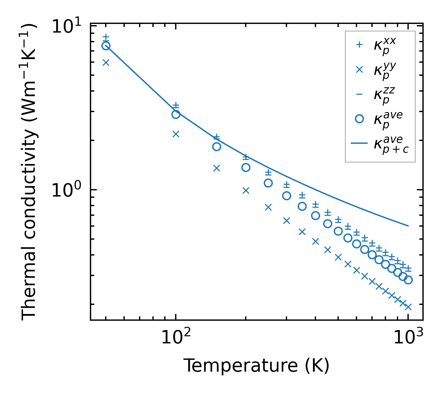
Summary

../../_images/fig_kappa10991.png

(a) Temperature-dependent lattice thermal conductivity

../../_images/fig_times23212.png

(b) Computation time