mp-18383-2/K3NbS4/anharm

Equation of state

../../_images/fig_bm6939.png

(a) Equation of state

Harmonic properties

../../_images/fig_bandos_pr13861.png

(a) Phonon dispersion with participation ratio and DOS

../../_images/fig_thermo13861.png

(b) Thermodynamic properties

Grüneisen parameters

../../_images/fig_gru_all5854.png

(a) Grüneisen parameters

../../_images/fig_gruneisen5854.png

(b) Phonon dispersion with Grüneisen parameters

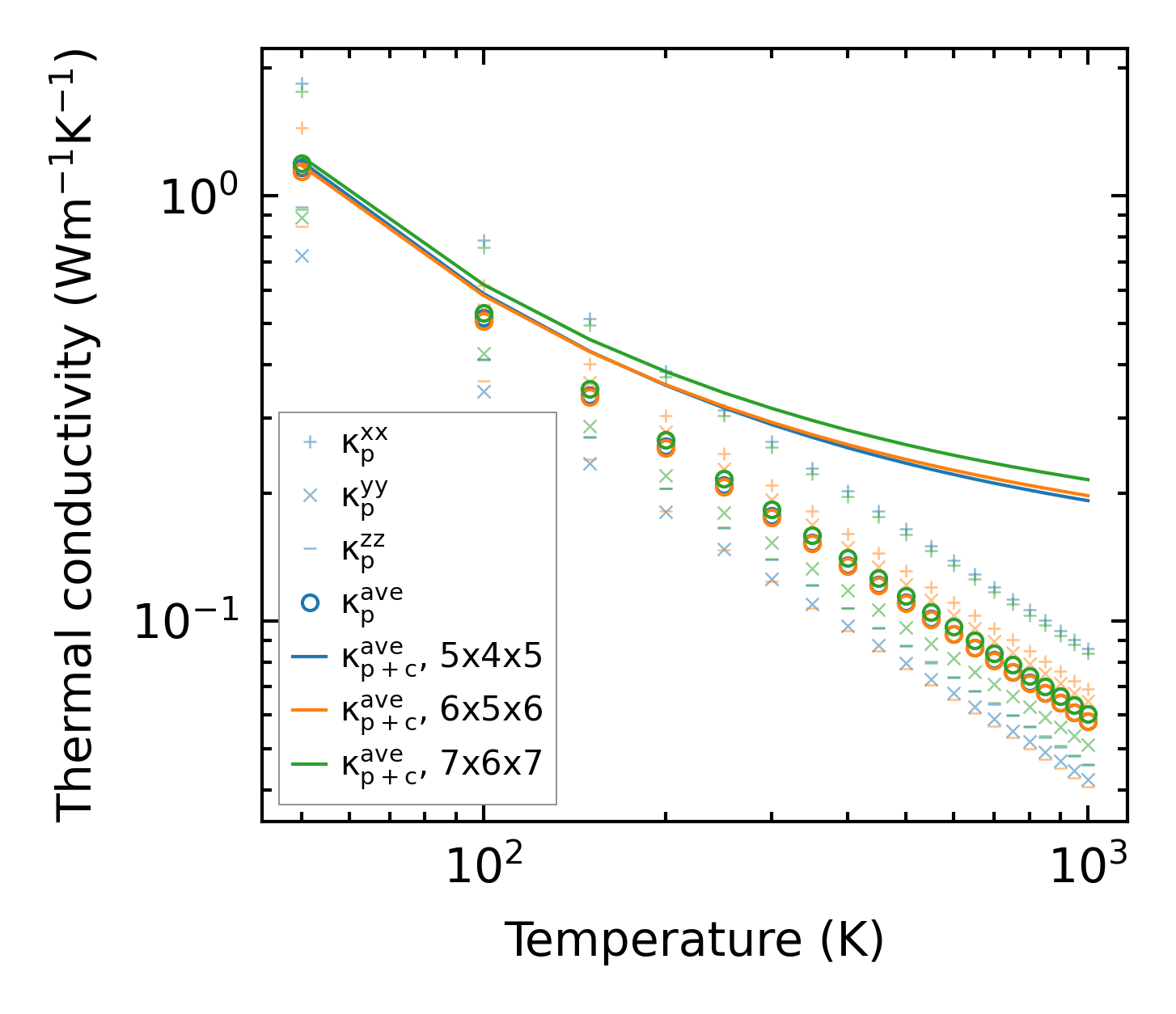
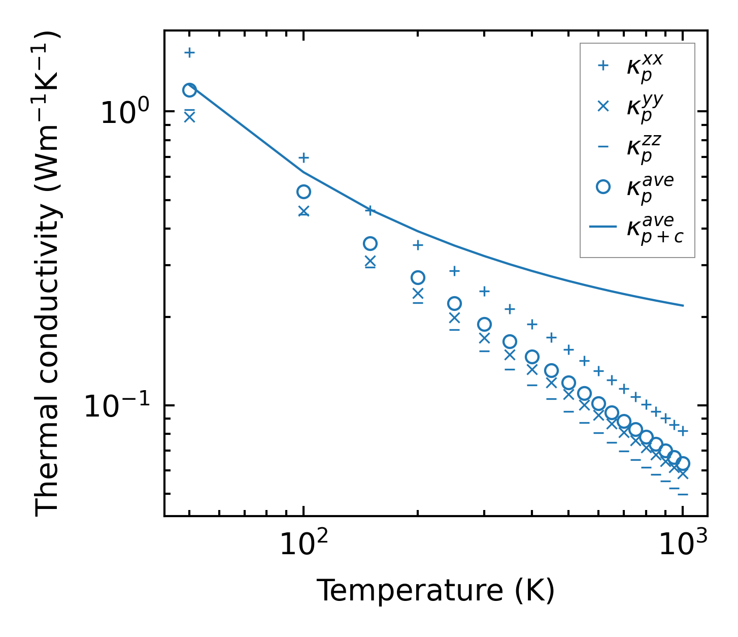
Thermal conductivity

3-phonon (LASSO) — q-mesh: 7x6x7, supercell: 2x1x2

../../_images/fig_kappa11012.png

(a) Temperature-dependent lattice thermal conductivity

../../_images/fig_kappa_vs_grain_size5927.png

(b) Peierls lattice thermal conductivity w.r.t grain size

3-phonon (LASSO), supercell 2x2x2 — q-mesh: 7x6x7, supercell: 2x2x2

../../_images/fig_kappa11013.png

(a) Temperature-dependent lattice thermal conductivity

../../_images/fig_kappa_vs_grain_size5928.png

(b) Peierls lattice thermal conductivity w.r.t grain size

Phonon lifetime and scattering rates

../../_images/fig_lifetime5797.png

(a) Phonon lifetime due to phonon-phonon scattering

../../_images/fig_scat_rates5796.png

(b) Phonon scattering rates

Cumulative and spectral thermal conductivity

../../_images/fig_cumu_frequency5797.png

(a) Spectral and cumulative thermal conductivity w.r.t frequency

../../_images/fig_cumu_mfp5796.png

(b) Spectral and cumulative thermal conductivity w.r.t MFP

Force constants

../../_images/fig_fc213489.png

(a) Force constants w.r.t atomic distance

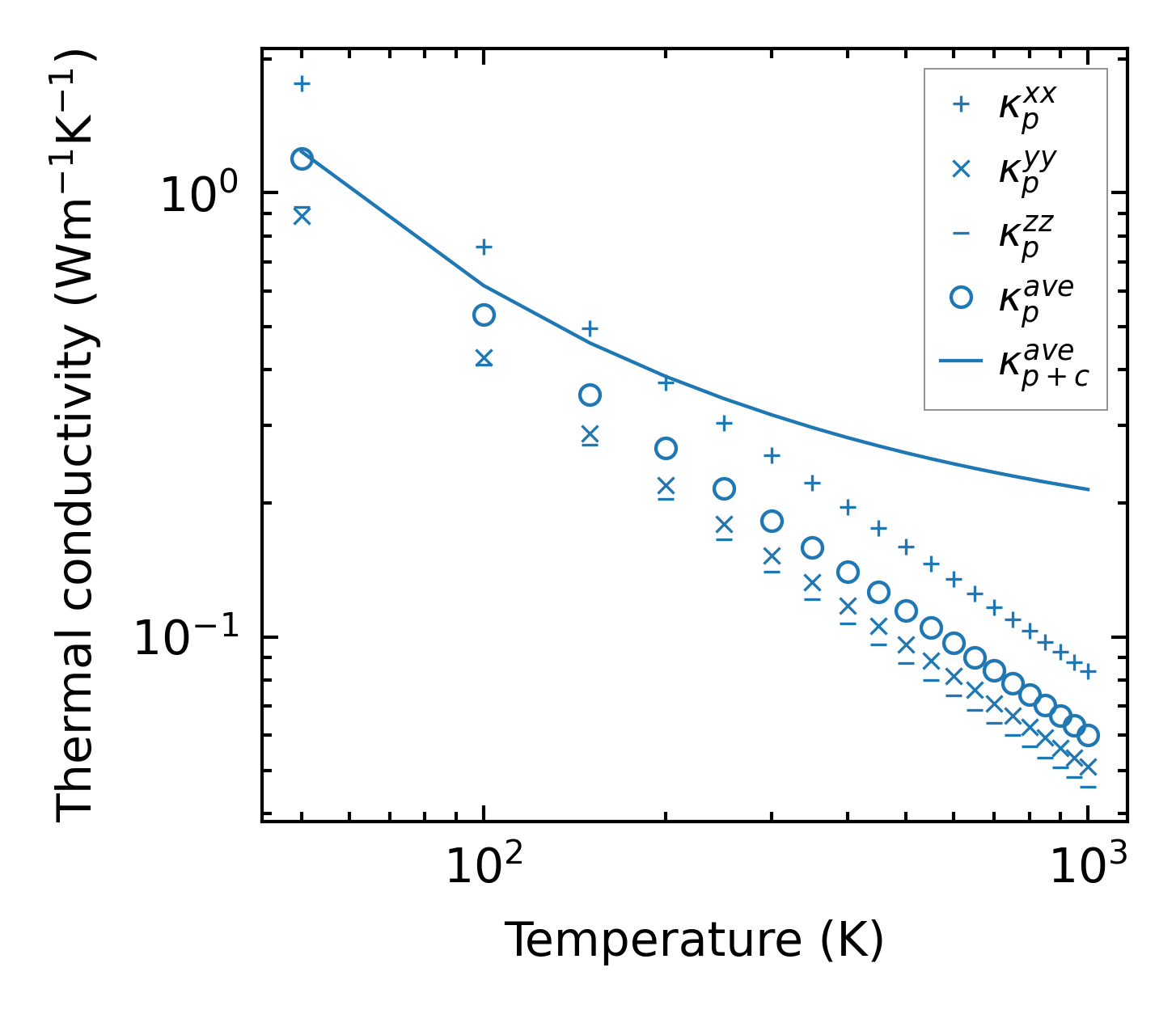
Summary

../../_images/fig_kappa11014.png

(a) Temperature-dependent lattice thermal conductivity

../../_images/fig_times23240.png

(b) Computation time