mp-18229/CaTa2O6/anharm

Harmonic properties

../../_images/fig_bandos_pr13813.png

(a) Phonon dispersion with participation ratio and DOS

../../_images/fig_thermo13813.png

(b) Thermodynamic properties

Grüneisen parameters

../../_images/fig_gru_all5824.png

(a) Grüneisen parameters

../../_images/fig_gruneisen5824.png

(b) Phonon dispersion with Grüneisen parameters

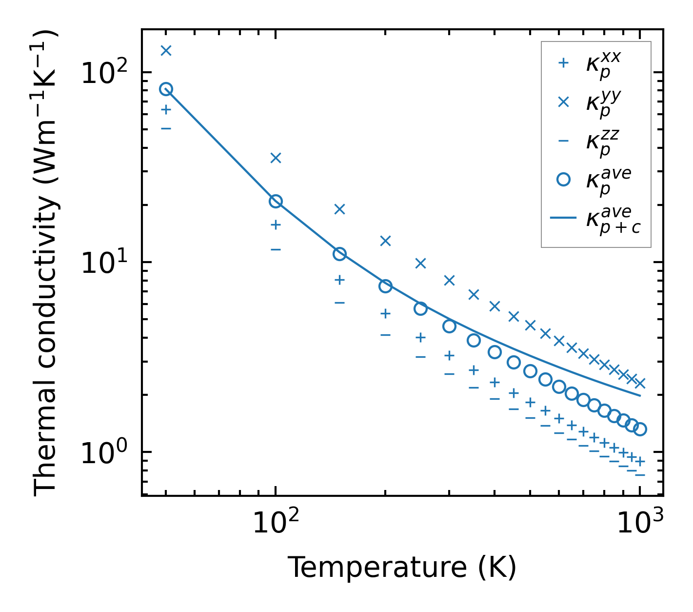
Thermal conductivity

3-phonon (LASSO) — q-mesh: 6x9x13, supercell: 1x2x2

../../_images/fig_kappa10953.png

(a) Temperature-dependent lattice thermal conductivity

../../_images/fig_kappa_vs_grain_size5896.png

(b) Peierls lattice thermal conductivity w.r.t grain size

Phonon lifetime and scattering rates

../../_images/fig_lifetime5768.png

(a) Phonon lifetime due to phonon-phonon scattering

../../_images/fig_scat_rates5767.png

(b) Phonon scattering rates

Cumulative and spectral thermal conductivity

../../_images/fig_cumu_frequency5768.png

(a) Spectral and cumulative thermal conductivity w.r.t frequency

../../_images/fig_cumu_mfp5767.png

(b) Spectral and cumulative thermal conductivity w.r.t MFP

Force constants

../../_images/fig_fc213441.png

(a) Force constants w.r.t atomic distance

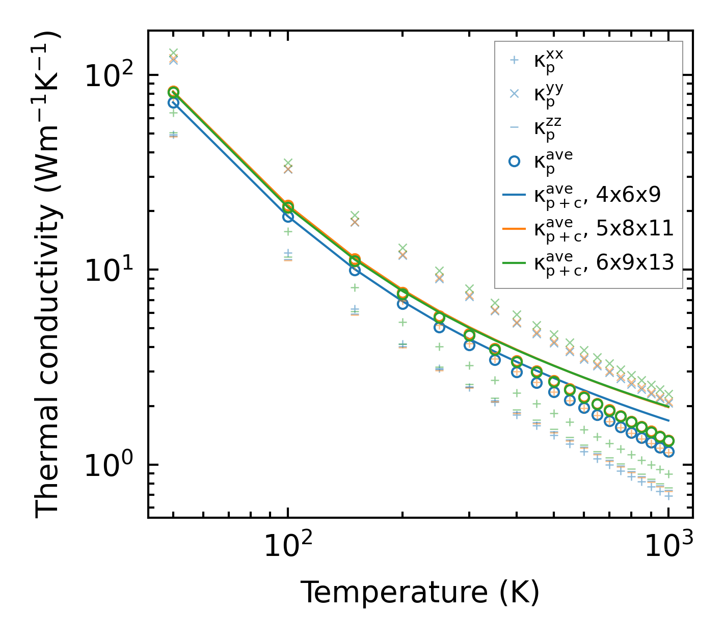
Summary

../../_images/fig_kappa10954.png

(a) Temperature-dependent lattice thermal conductivity

../../_images/fig_times23168.png

(b) Computation time