mp-18043/Sr6YScB6O18/anharm

Equation of state

../../_images/fig_bm6870.png

(a) Equation of state

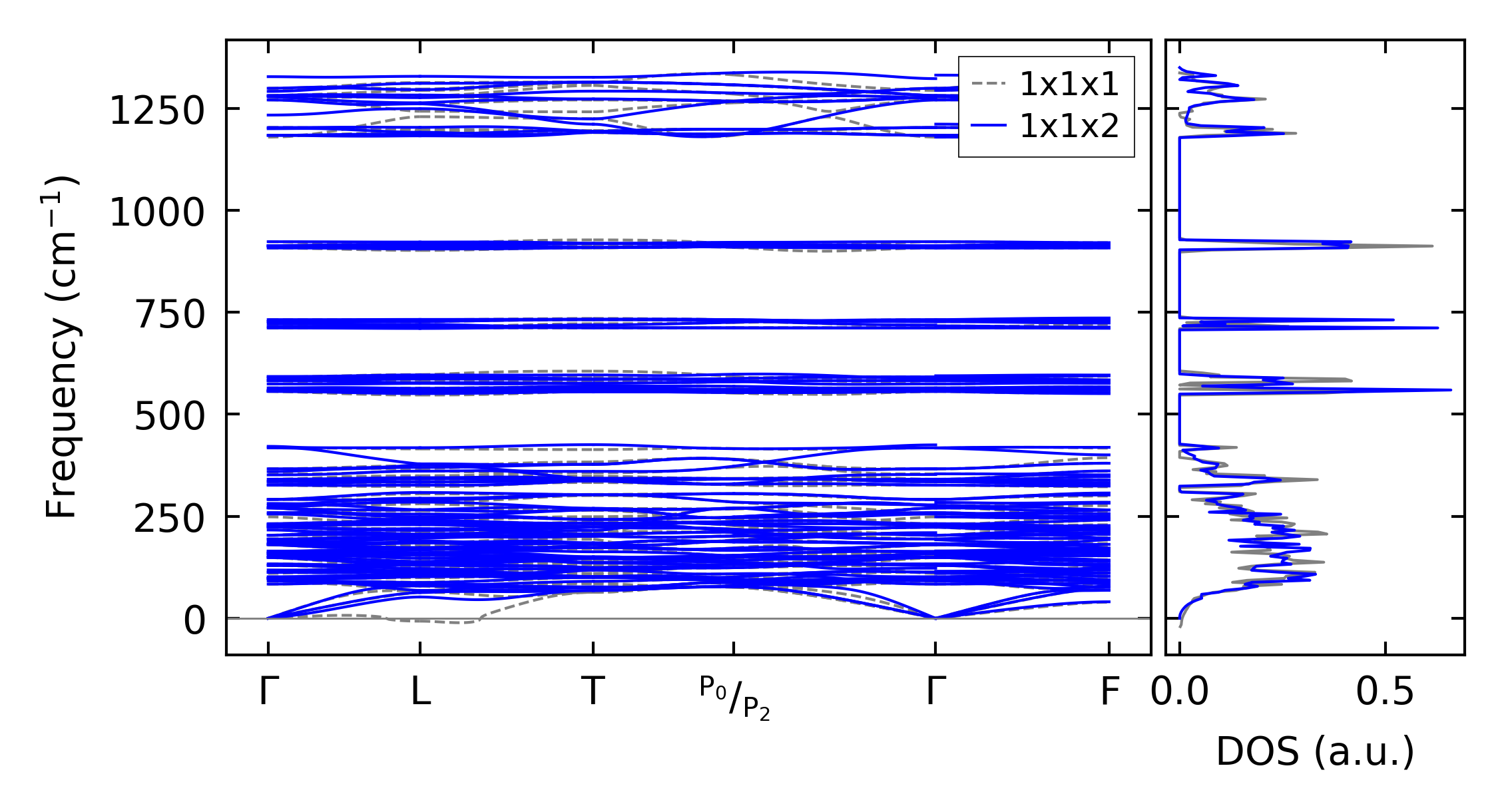
Harmonic properties

../../_images/fig_bandos_pr13756.png

(a) Phonon dispersion with participation ratio and DOS

../../_images/fig_bandos18136.png

(b) Phonon dispersion and DOS

../../_images/fig_thermo13756.png

(c) Thermodynamic properties

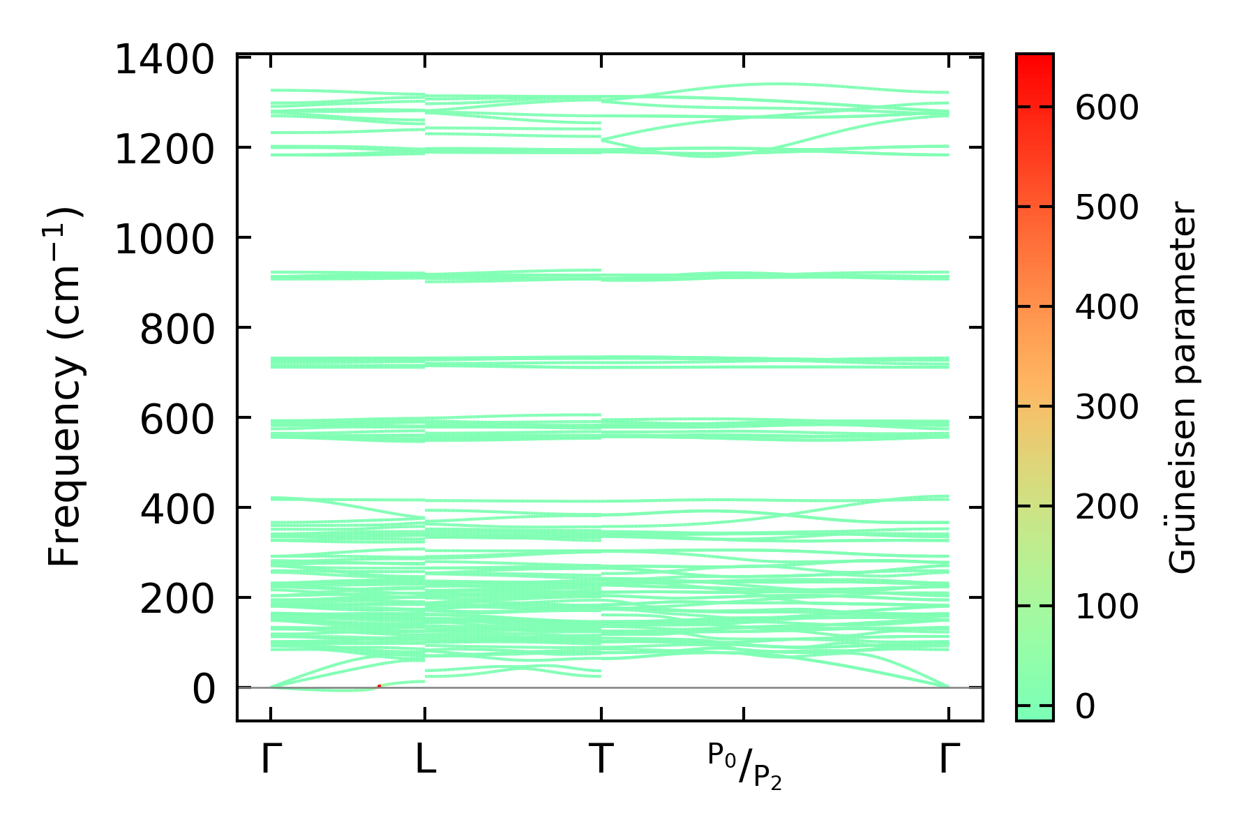
Grüneisen parameters

../../_images/fig_gru_all5797.png

(a) Grüneisen parameters

../../_images/fig_gruneisen5797.png

(b) Phonon dispersion with Grüneisen parameters

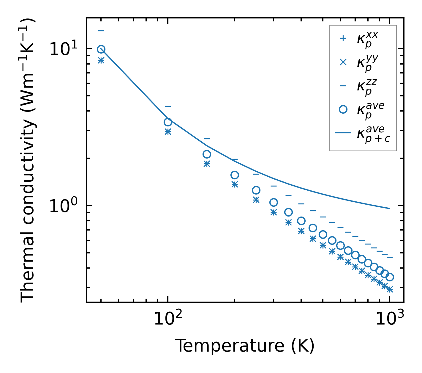
Thermal conductivity

3-phonon (LASSO), supercell 1x1x2 — q-mesh: 9x9x9, supercell: 1x1x2

../../_images/fig_kappa10900.png

(a) Temperature-dependent lattice thermal conductivity

../../_images/fig_kappa_vs_grain_size5867.png

(b) Peierls lattice thermal conductivity w.r.t grain size

Phonon lifetime and scattering rates

../../_images/fig_lifetime5741.png

(a) Phonon lifetime due to phonon-phonon scattering

../../_images/fig_scat_rates5740.png

(b) Phonon scattering rates

Cumulative and spectral thermal conductivity

../../_images/fig_cumu_frequency5741.png

(a) Spectral and cumulative thermal conductivity w.r.t frequency

../../_images/fig_cumu_mfp5740.png

(b) Spectral and cumulative thermal conductivity w.r.t MFP

Force constants

../../_images/fig_fc213384.png

(a) Force constants w.r.t atomic distance

Summary

../../_images/fig_times23071.png

(a) Computation time