mp-18160-2/Cs2SrV4O12/anharm

Equation of state

../../_images/fig_bm6897.png

(a) Equation of state

Harmonic properties

../../_images/fig_bandos_pr13797.png

(a) Phonon dispersion with participation ratio and DOS

../../_images/fig_bandos18184.png

(b) Phonon dispersion and DOS

../../_images/fig_thermo13797.png

(c) Thermodynamic properties

Grüneisen parameters

../../_images/fig_gru_all5814.png

(a) Grüneisen parameters

../../_images/fig_gruneisen5814.png

(b) Phonon dispersion with Grüneisen parameters

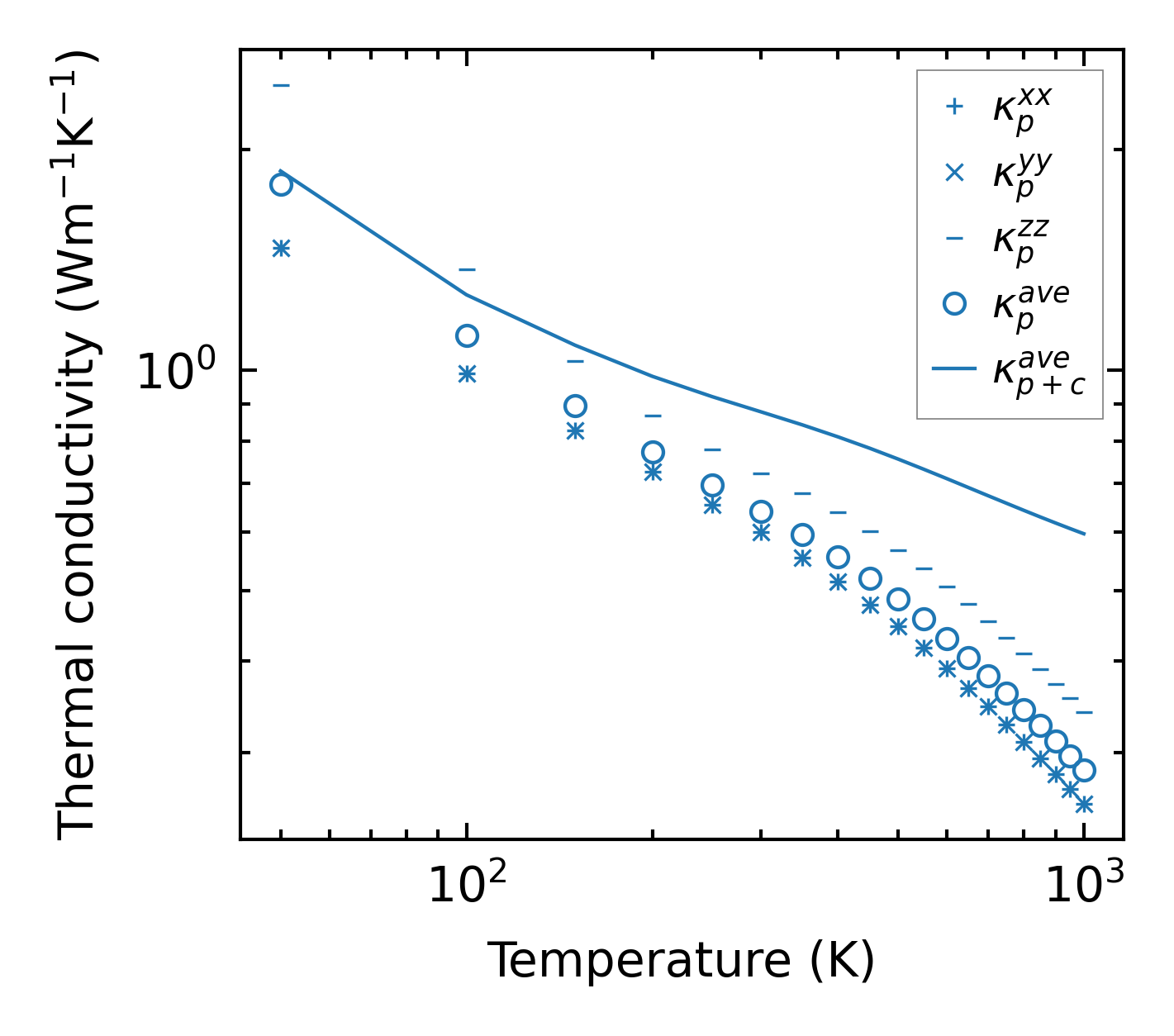
Thermal conductivity

3-phonon (LASSO), supercell 2x2x2 — q-mesh: 9x9x12, supercell: 2x2x2

../../_images/fig_kappa10935.png

(a) Temperature-dependent lattice thermal conductivity

../../_images/fig_kappa_vs_grain_size5886.png

(b) Peierls lattice thermal conductivity w.r.t grain size

Phonon lifetime and scattering rates

../../_images/fig_lifetime5758.png

(a) Phonon lifetime due to phonon-phonon scattering

../../_images/fig_scat_rates5757.png

(b) Phonon scattering rates

Cumulative and spectral thermal conductivity

../../_images/fig_cumu_frequency5758.png

(a) Spectral and cumulative thermal conductivity w.r.t frequency

../../_images/fig_cumu_mfp5757.png

(b) Spectral and cumulative thermal conductivity w.r.t MFP

Force constants

../../_images/fig_fc213425.png

(a) Force constants w.r.t atomic distance

Summary

../../_images/fig_times23134.png

(a) Computation time