mp-18500-2/K3Sn4Au/anharm

Equation of state

../../_images/fig_bm6958.png

(a) Equation of state

Harmonic properties

../../_images/fig_bandos_pr13895.png

(a) Phonon dispersion with participation ratio and DOS

../../_images/fig_thermo13895.png

(b) Thermodynamic properties

Grüneisen parameters

../../_images/fig_gru_all5869.png

(a) Grüneisen parameters

../../_images/fig_gruneisen5869.png

(b) Phonon dispersion with Grüneisen parameters

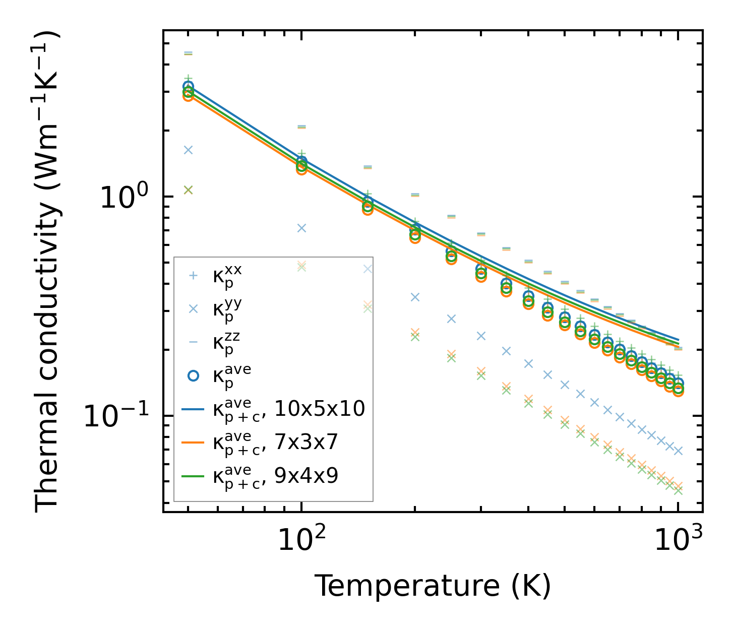
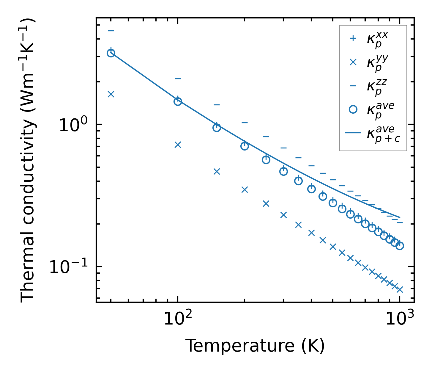
Thermal conductivity

3-phonon (LASSO) — q-mesh: 10x5x10, supercell: 2x2x2

../../_images/fig_kappa11044.png

(a) Temperature-dependent lattice thermal conductivity

../../_images/fig_kappa_vs_grain_size5945.png

(b) Peierls lattice thermal conductivity w.r.t grain size

Phonon lifetime and scattering rates

../../_images/fig_lifetime5812.png

(a) Phonon lifetime due to phonon-phonon scattering

../../_images/fig_scat_rates5811.png

(b) Phonon scattering rates

Cumulative and spectral thermal conductivity

../../_images/fig_cumu_frequency5812.png

(a) Spectral and cumulative thermal conductivity w.r.t frequency

../../_images/fig_cumu_mfp5811.png

(b) Spectral and cumulative thermal conductivity w.r.t MFP

Force constants

../../_images/fig_fc213523.png

(a) Force constants w.r.t atomic distance

Summary

../../_images/fig_kappa11045.png

(a) Temperature-dependent lattice thermal conductivity

../../_images/fig_times23290.png

(b) Computation time