mp-18109-2/RbDyS2O8/anharm

Equation of state

../../_images/fig_bm6884.png

(a) Equation of state

Harmonic properties

../../_images/fig_bandos_pr13780.png

(a) Phonon dispersion with participation ratio and DOS

../../_images/fig_thermo13780.png

(b) Thermodynamic properties

Grüneisen parameters

../../_images/fig_gru_all5807.png

(a) Grüneisen parameters

../../_images/fig_gruneisen5807.png

(b) Phonon dispersion with Grüneisen parameters

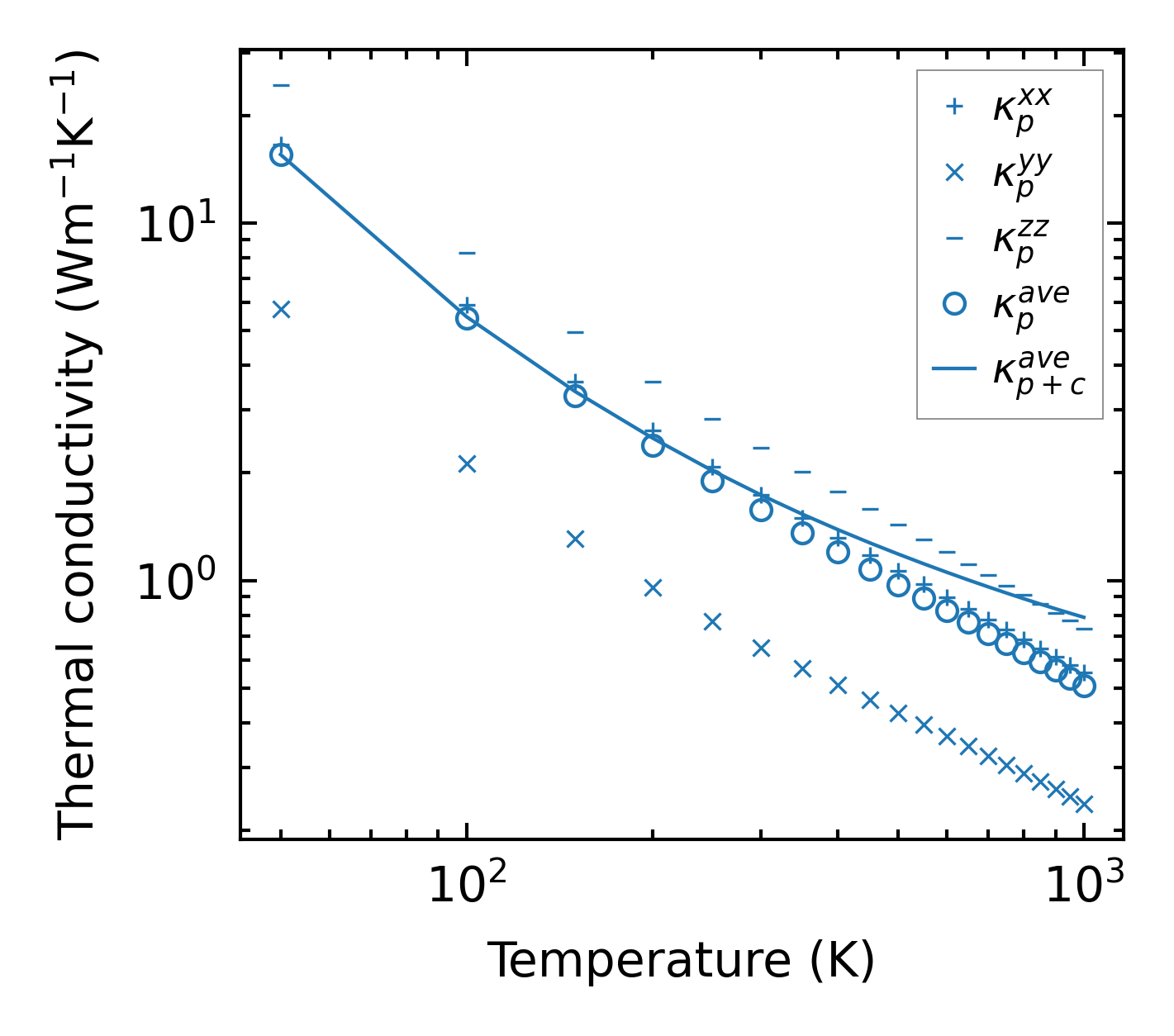
Thermal conductivity

3-phonon (LASSO) — q-mesh: 7x5x13, supercell: 1x1x2

../../_images/fig_kappa10920.png

(a) Temperature-dependent lattice thermal conductivity

../../_images/fig_kappa_vs_grain_size5878.png

(b) Peierls lattice thermal conductivity w.r.t grain size

Phonon lifetime and scattering rates

../../_images/fig_lifetime5751.png

(a) Phonon lifetime due to phonon-phonon scattering

../../_images/fig_scat_rates5750.png

(b) Phonon scattering rates

Cumulative and spectral thermal conductivity

../../_images/fig_cumu_frequency5751.png

(a) Spectral and cumulative thermal conductivity w.r.t frequency

../../_images/fig_cumu_mfp5750.png

(b) Spectral and cumulative thermal conductivity w.r.t MFP

Force constants

../../_images/fig_fc213408.png

(a) Force constants w.r.t atomic distance

Summary

../../_images/fig_kappa10921.png

(a) Temperature-dependent lattice thermal conductivity

../../_images/fig_times23104.png

(b) Computation time