mp-18473-2/RbLaMo2O8/anharm

Equation of state

../../_images/fig_bm6954.png

(a) Equation of state

Harmonic properties

../../_images/fig_bandos_pr13884.png

(a) Phonon dispersion with participation ratio and DOS

../../_images/fig_bandos18284.png

(b) Phonon dispersion and DOS

../../_images/fig_thermo13884.png

(c) Thermodynamic properties

Grüneisen parameters

../../_images/fig_gru_all5866.png

(a) Grüneisen parameters

../../_images/fig_gruneisen5866.png

(b) Phonon dispersion with Grüneisen parameters

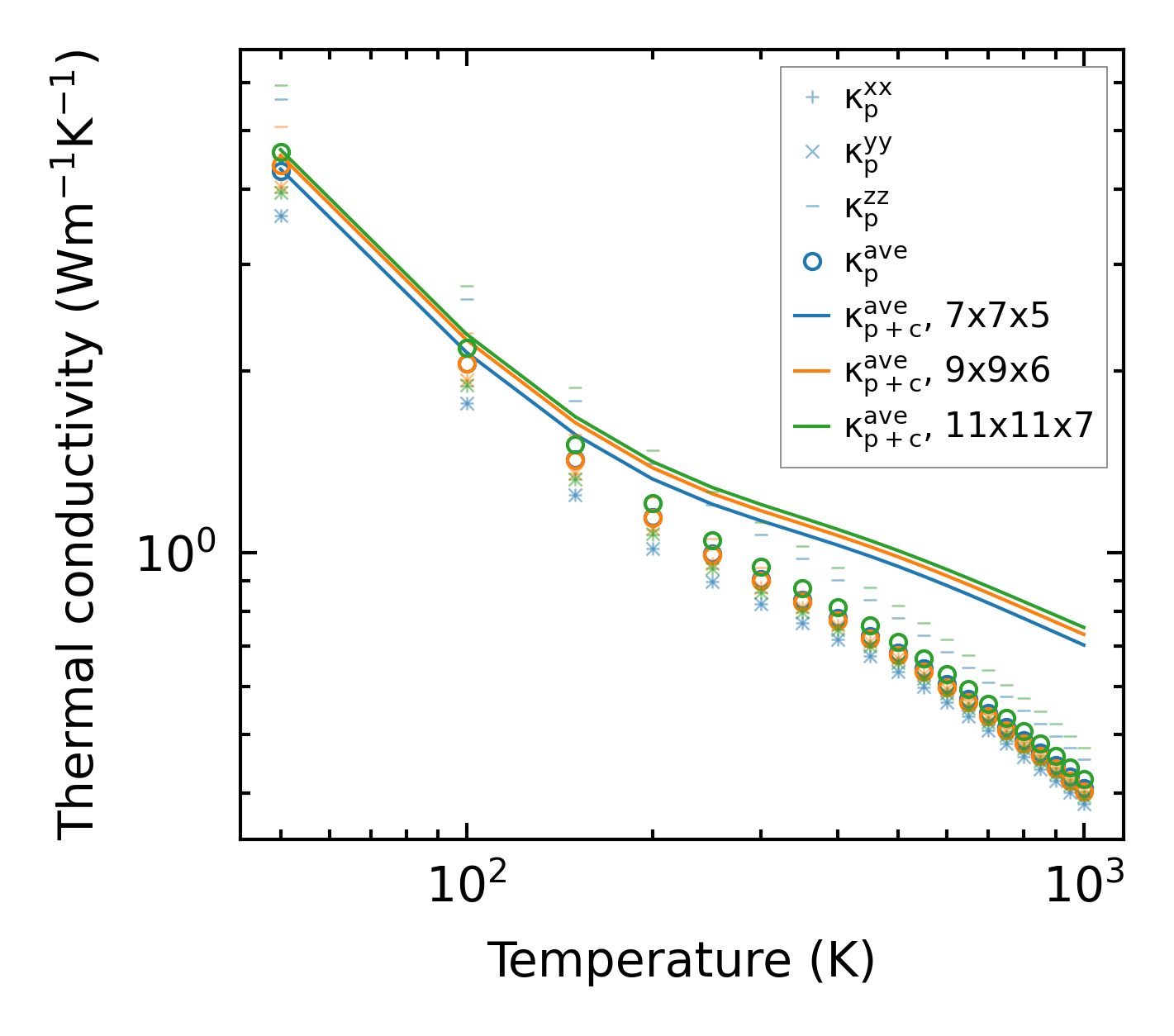
Thermal conductivity

3-phonon (LASSO) — q-mesh: 11x11x7, supercell: 2x2x1

../../_images/fig_kappa11037.png

(a) Temperature-dependent lattice thermal conductivity

../../_images/fig_kappa_vs_grain_size5941.png

(b) Peierls lattice thermal conductivity w.r.t grain size

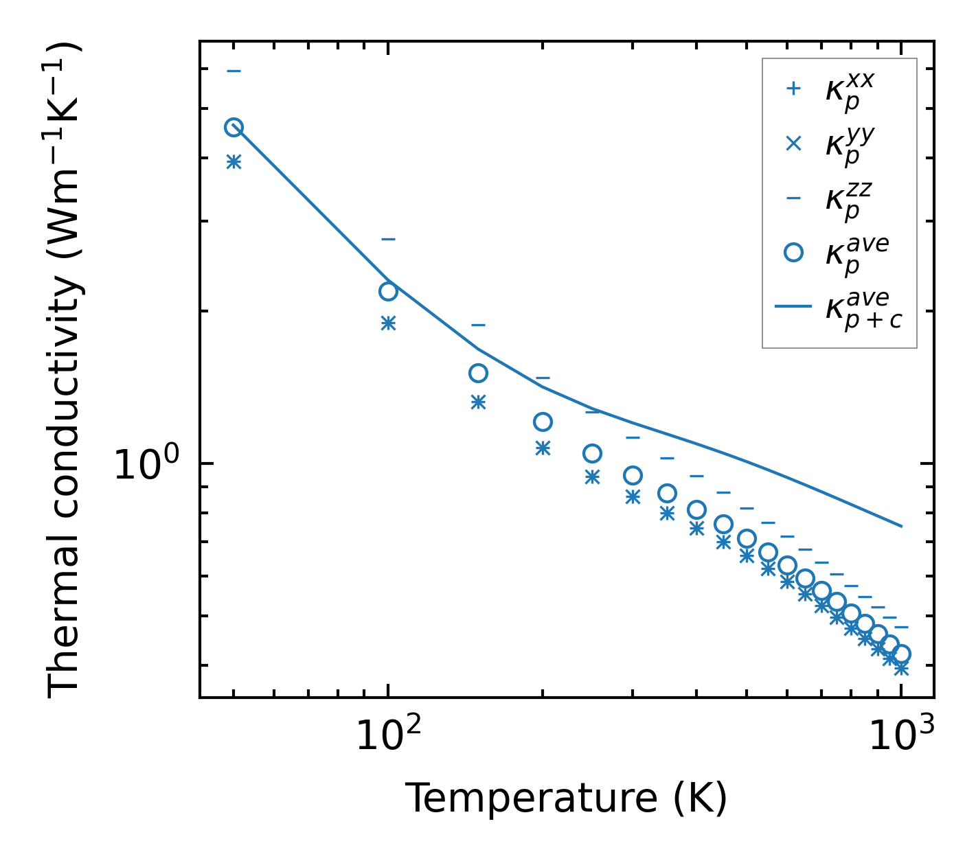
3-phonon (LASSO), supercell 2x2x2 — q-mesh: 11x11x7, supercell: 2x2x2

../../_images/fig_kappa11038.png

(a) Temperature-dependent lattice thermal conductivity

../../_images/fig_kappa_vs_grain_size5942.png

(b) Peierls lattice thermal conductivity w.r.t grain size

Phonon lifetime and scattering rates

../../_images/fig_lifetime5809.png

(a) Phonon lifetime due to phonon-phonon scattering

../../_images/fig_scat_rates5808.png

(b) Phonon scattering rates

Cumulative and spectral thermal conductivity

../../_images/fig_cumu_frequency5809.png

(a) Spectral and cumulative thermal conductivity w.r.t frequency

../../_images/fig_cumu_mfp5808.png

(b) Spectral and cumulative thermal conductivity w.r.t MFP

Force constants

../../_images/fig_fc213512.png

(a) Force constants w.r.t atomic distance

Summary

../../_images/fig_kappa11039.png

(a) Temperature-dependent lattice thermal conductivity

../../_images/fig_times23277.png

(b) Computation time