mp-10969/CdCN2/anharm

Harmonic properties

../../_images/fig_bandos_pr690.png

(a) Phonon dispersion with participation ratio and DOS

../../_images/fig_thermo690.png

(b) Thermodynamic properties

Grüneisen parameters

../../_images/fig_gru_all458.png

(a) Grüneisen parameters

../../_images/fig_gruneisen458.png

(b) Phonon dispersion with Grüneisen parameters

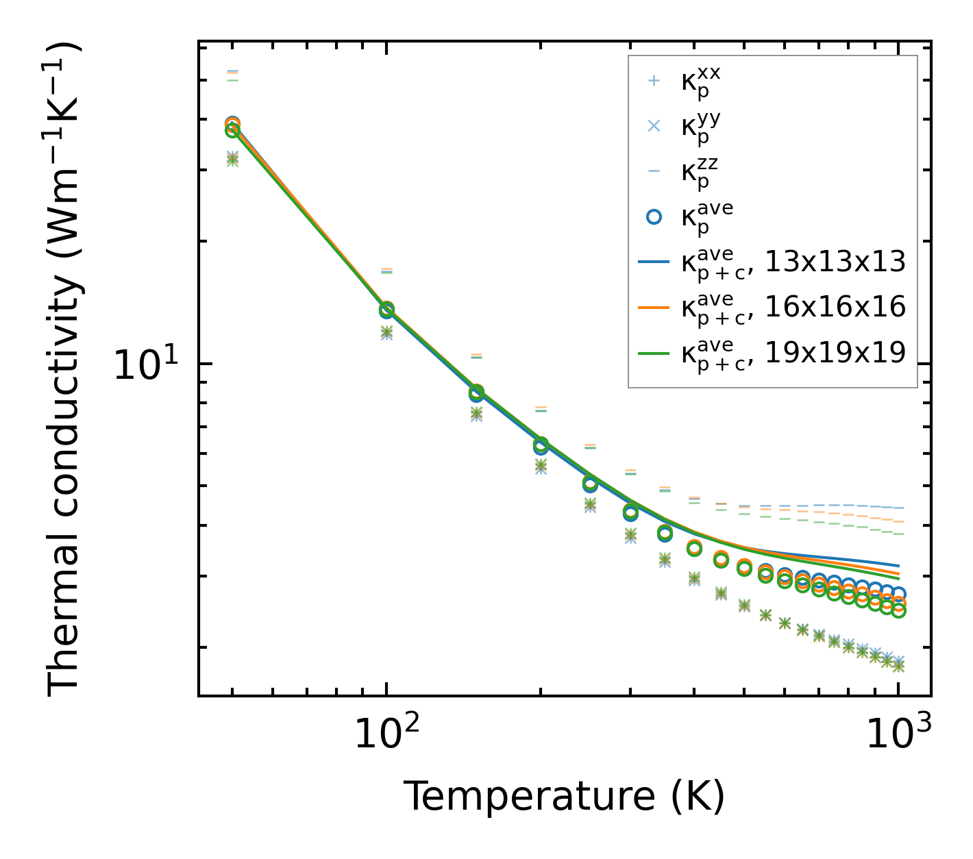
Thermal conductivity

3-phonon (LASSO) — q-mesh: 19x19x19, supercell: 3x3x1

../../_images/fig_kappa890.png

(a) Temperature-dependent lattice thermal conductivity

../../_images/fig_kappa_vs_grain_size465.png

(b) Peierls lattice thermal conductivity w.r.t grain size

Phonon lifetime and scattering rates

../../_images/fig_lifetime456.png

(a) Phonon lifetime due to phonon-phonon scattering

../../_images/fig_scat_rates455.png

(b) Phonon scattering rates

Cumulative and spectral thermal conductivity

../../_images/fig_cumu_frequency456.png

(a) Spectral and cumulative thermal conductivity w.r.t frequency

../../_images/fig_cumu_mfp456.png

(b) Spectral and cumulative thermal conductivity w.r.t MFP

Force constants

../../_images/fig_fc2601.png

(a) Force constants w.r.t atomic distance

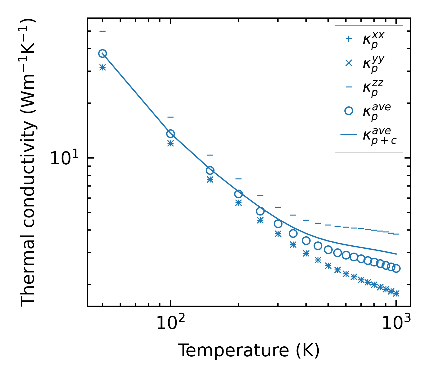
Summary

../../_images/fig_kappa891.png

(a) Temperature-dependent lattice thermal conductivity

../../_images/fig_times990.png

(b) Computation time