mp-10246/Na2PtS2/anharm

Equation of state

../../_images/fig_bm168.png

(a) Equation of state

Harmonic properties

../../_images/fig_bandos_pr526.png

(a) Phonon dispersion with participation ratio and DOS

../../_images/fig_bandos460.png

(b) Phonon dispersion and DOS

../../_images/fig_thermo526.png

(c) Thermodynamic properties

Grüneisen parameters

../../_images/fig_gru_all356.png

(a) Grüneisen parameters

../../_images/fig_gruneisen356.png

(b) Phonon dispersion with Grüneisen parameters

Thermal conductivity

3-phonon (LASSO), supercell 4x2x1 — q-mesh: 15x15x7, supercell: 4x2x1

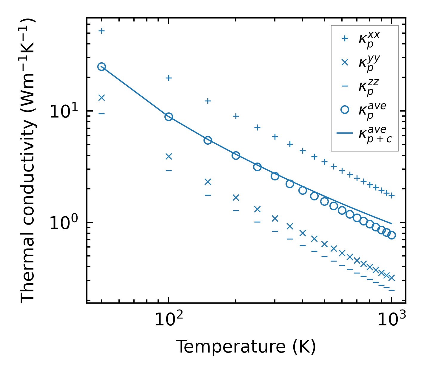
../../_images/fig_kappa690.png

(a) Temperature-dependent lattice thermal conductivity

../../_images/fig_kappa_vs_grain_size359.png

(b) Peierls lattice thermal conductivity w.r.t grain size

Phonon lifetime and scattering rates

../../_images/fig_lifetime354.png

(a) Phonon lifetime due to phonon-phonon scattering

../../_images/fig_scat_rates353.png

(b) Phonon scattering rates

Cumulative and spectral thermal conductivity

../../_images/fig_cumu_frequency354.png

(a) Spectral and cumulative thermal conductivity w.r.t frequency

../../_images/fig_cumu_mfp354.png

(b) Spectral and cumulative thermal conductivity w.r.t MFP

Force constants

../../_images/fig_fc2448.png

(a) Force constants w.r.t atomic distance

Summary

../../_images/fig_times784.png

(a) Computation time