mp-10233/Ca2BN2F/anharm

Harmonic properties

../../_images/fig_bandos_pr524.png

(a) Phonon dispersion with participation ratio and DOS

../../_images/fig_thermo524.png

(b) Thermodynamic properties

Grüneisen parameters

../../_images/fig_gru_all354.png

(a) Grüneisen parameters

../../_images/fig_gruneisen354.png

(b) Phonon dispersion with Grüneisen parameters

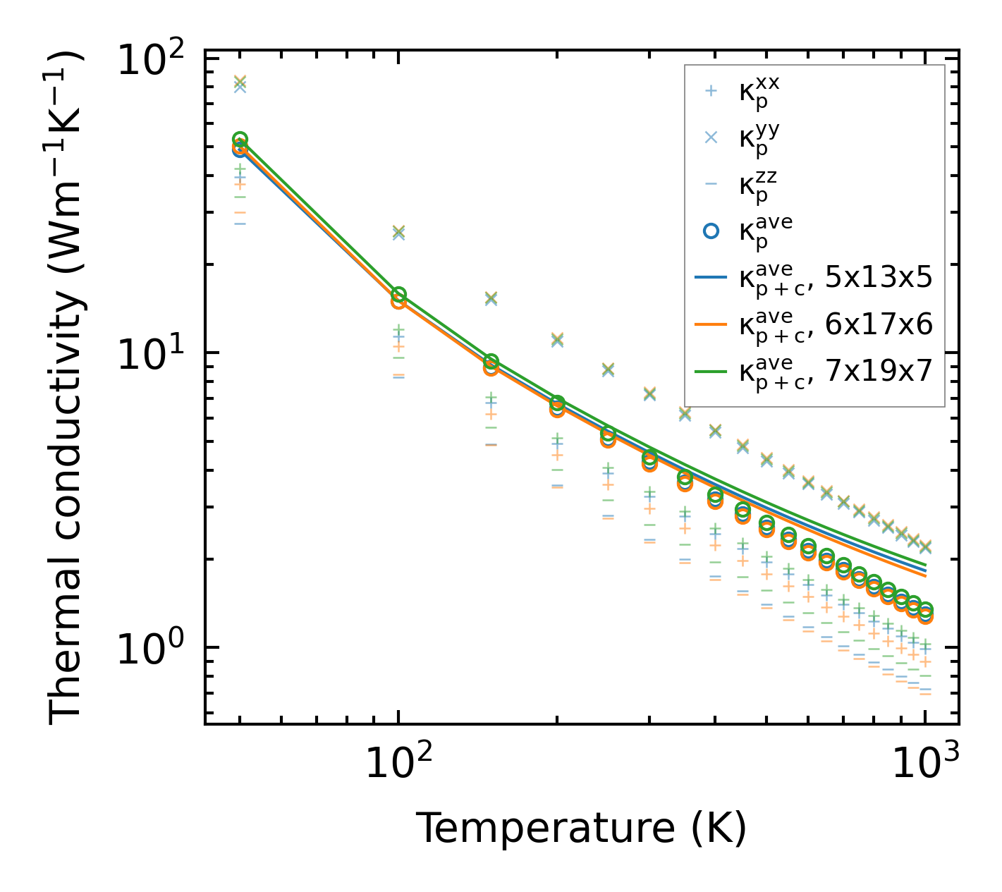
Thermal conductivity

3-phonon (LASSO) — q-mesh: 7x19x7, supercell: 2x3x1

../../_images/fig_kappa686.png

(a) Temperature-dependent lattice thermal conductivity

../../_images/fig_kappa_vs_grain_size357.png

(b) Peierls lattice thermal conductivity w.r.t grain size

Phonon lifetime and scattering rates

../../_images/fig_lifetime352.png

(a) Phonon lifetime due to phonon-phonon scattering

../../_images/fig_scat_rates351.png

(b) Phonon scattering rates

Cumulative and spectral thermal conductivity

../../_images/fig_cumu_frequency352.png

(a) Spectral and cumulative thermal conductivity w.r.t frequency

../../_images/fig_cumu_mfp352.png

(b) Spectral and cumulative thermal conductivity w.r.t MFP

Force constants

../../_images/fig_fc2446.png

(a) Force constants w.r.t atomic distance

Summary

../../_images/fig_kappa687.png

(a) Temperature-dependent lattice thermal conductivity

../../_images/fig_times782.png

(b) Computation time