mp-10408/K2CN2/anharm

Harmonic properties

../../_images/fig_bandos_pr556.png

(a) Phonon dispersion with participation ratio and DOS

../../_images/fig_thermo556.png

(b) Thermodynamic properties

Grüneisen parameters

../../_images/fig_gru_all373.png

(a) Grüneisen parameters

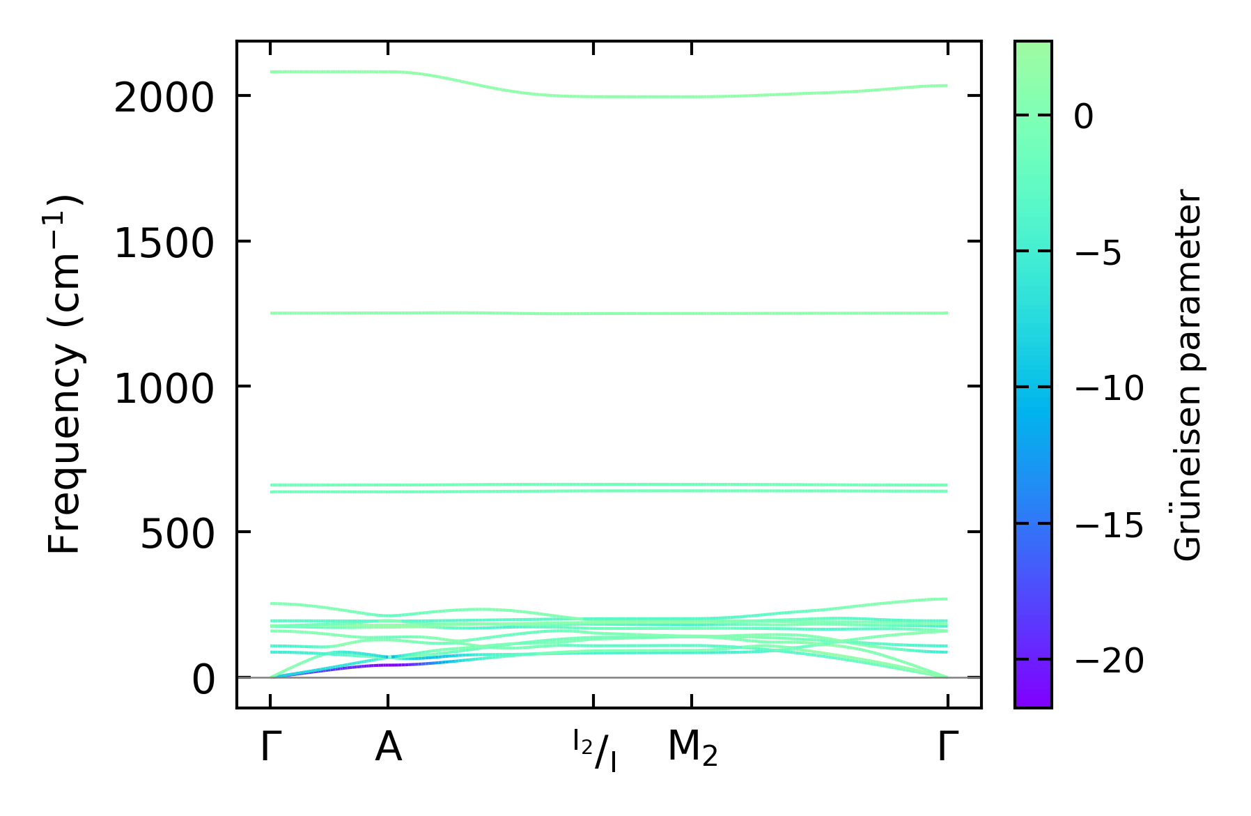
../../_images/fig_gruneisen373.png

(b) Phonon dispersion with Grüneisen parameters

Thermal conductivity

3-phonon (LASSO) — q-mesh: 18x18x12, supercell: 2x3x2

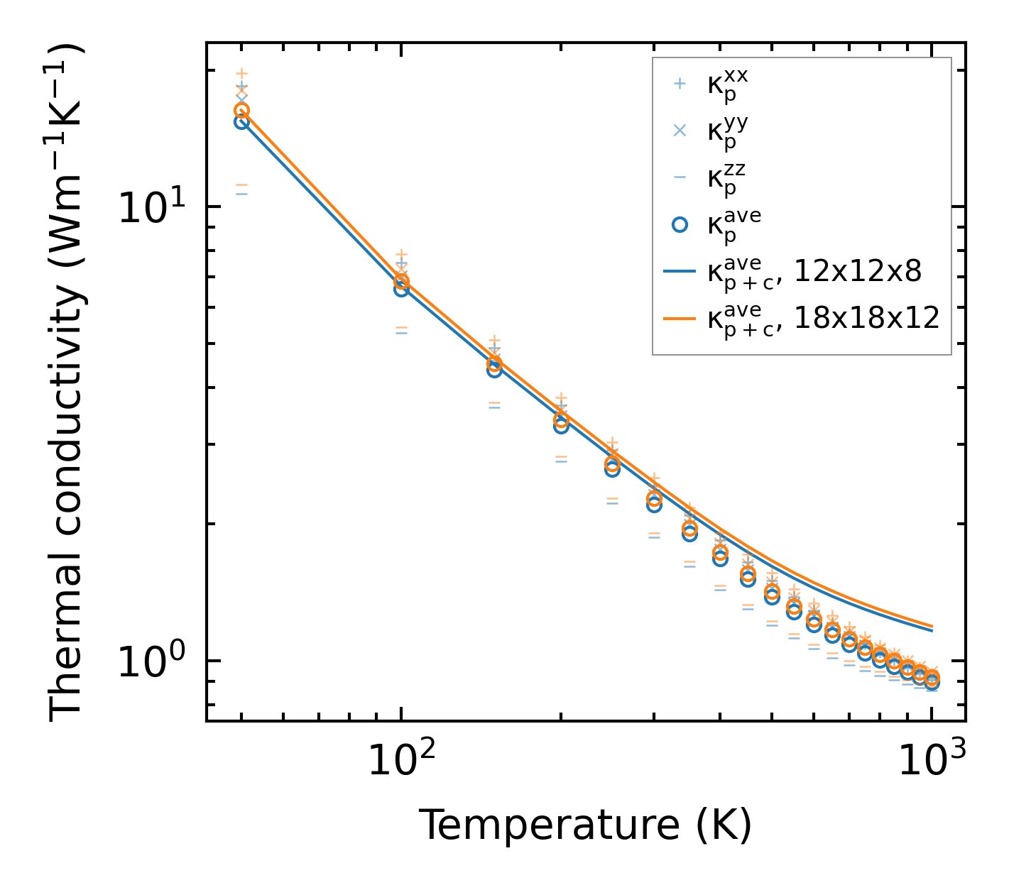
../../_images/fig_kappa724.png

(a) Temperature-dependent lattice thermal conductivity

../../_images/fig_kappa_vs_grain_size377.png

(b) Peierls lattice thermal conductivity w.r.t grain size

Phonon lifetime and scattering rates

../../_images/fig_lifetime371.png

(a) Phonon lifetime due to phonon-phonon scattering

../../_images/fig_scat_rates370.png

(b) Phonon scattering rates

Cumulative and spectral thermal conductivity

../../_images/fig_cumu_frequency371.png

(a) Spectral and cumulative thermal conductivity w.r.t frequency

../../_images/fig_cumu_mfp371.png

(b) Spectral and cumulative thermal conductivity w.r.t MFP

Force constants

../../_images/fig_fc2476.png

(a) Force constants w.r.t atomic distance

Summary

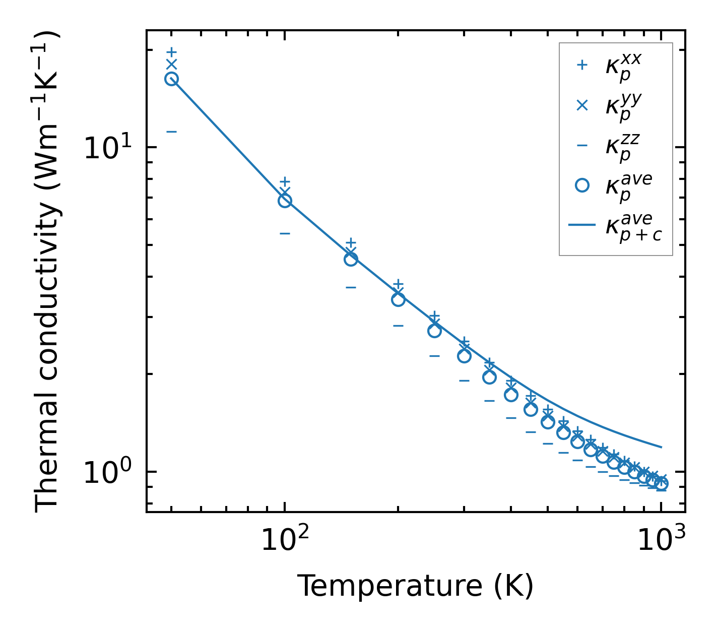
../../_images/fig_kappa725.png

(a) Temperature-dependent lattice thermal conductivity

../../_images/fig_times822.png

(b) Computation time