mp-10474/NaPF6/harm

Equation of state

../../_images/fig_bm195.png

(a) Equation of state

Harmonic properties

../../_images/fig_bandos_pr580.png

(a) Phonon dispersion with participation ratio and DOS

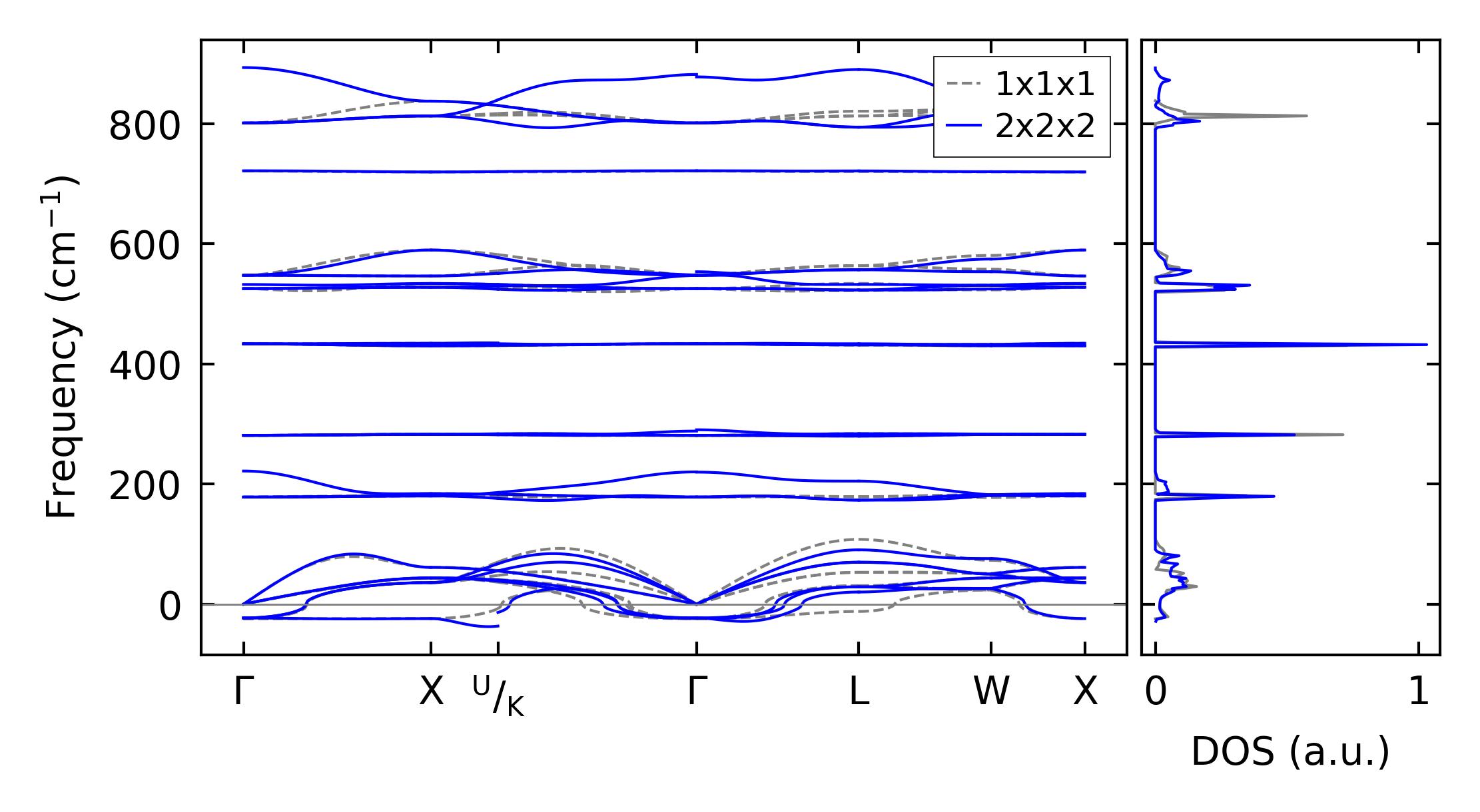
../../_images/fig_bandos506.png

(b) Phonon dispersion and DOS

../../_images/fig_thermo580.png

(c) Thermodynamic properties

Force constants

../../_images/fig_fc2498.png

(a) Force constants w.r.t atomic distance

Summary

../../_images/fig_times853.png

(a) Computation time