mp-10552/RbBSe3/anharm

Harmonic properties

../../_images/fig_bandos_pr607.png

(a) Phonon dispersion with participation ratio and DOS

../../_images/fig_thermo607.png

(b) Thermodynamic properties

Grüneisen parameters

../../_images/fig_gru_all396.png

(a) Grüneisen parameters

../../_images/fig_gruneisen396.png

(b) Phonon dispersion with Grüneisen parameters

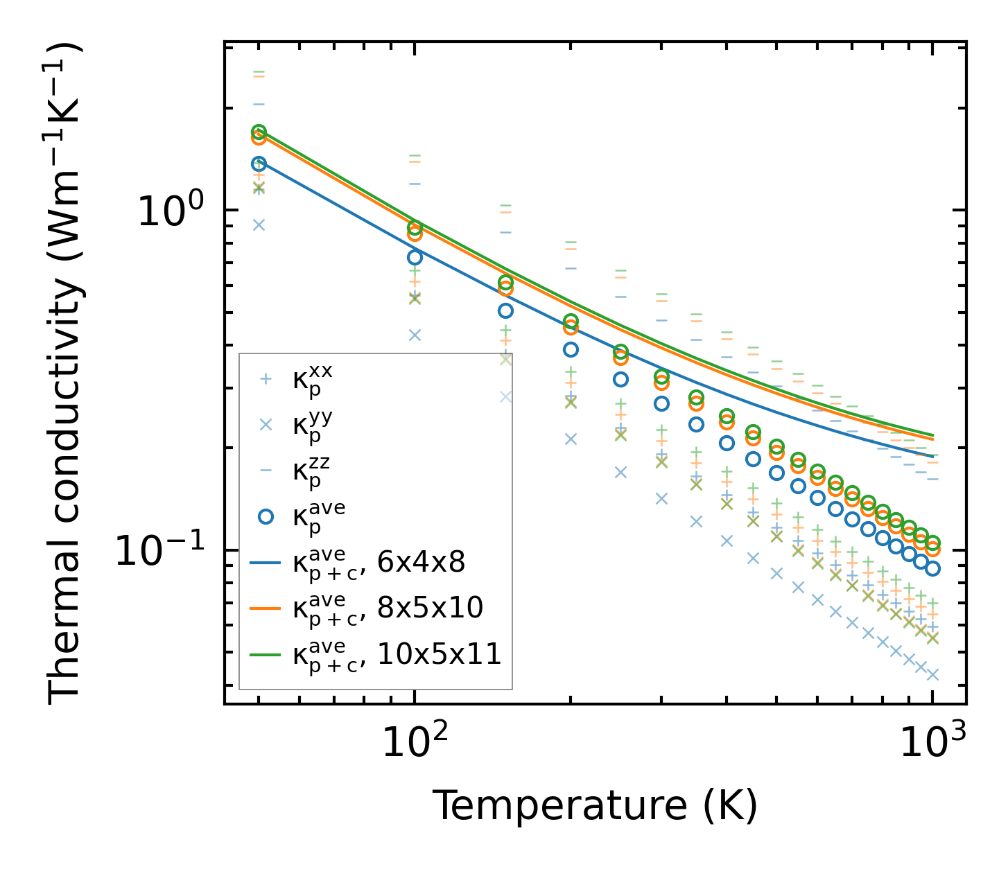
Thermal conductivity

3-phonon (LASSO) — q-mesh: 10x5x11, supercell: 2x1x3

../../_images/fig_kappa771.png

(a) Temperature-dependent lattice thermal conductivity

../../_images/fig_kappa_vs_grain_size402.png

(b) Peierls lattice thermal conductivity w.r.t grain size

Phonon lifetime and scattering rates

../../_images/fig_lifetime394.png

(a) Phonon lifetime due to phonon-phonon scattering

../../_images/fig_scat_rates393.png

(b) Phonon scattering rates

Cumulative and spectral thermal conductivity

../../_images/fig_cumu_frequency394.png

(a) Spectral and cumulative thermal conductivity w.r.t frequency

../../_images/fig_cumu_mfp394.png

(b) Spectral and cumulative thermal conductivity w.r.t MFP

Force constants

../../_images/fig_fc2524.png

(a) Force constants w.r.t atomic distance

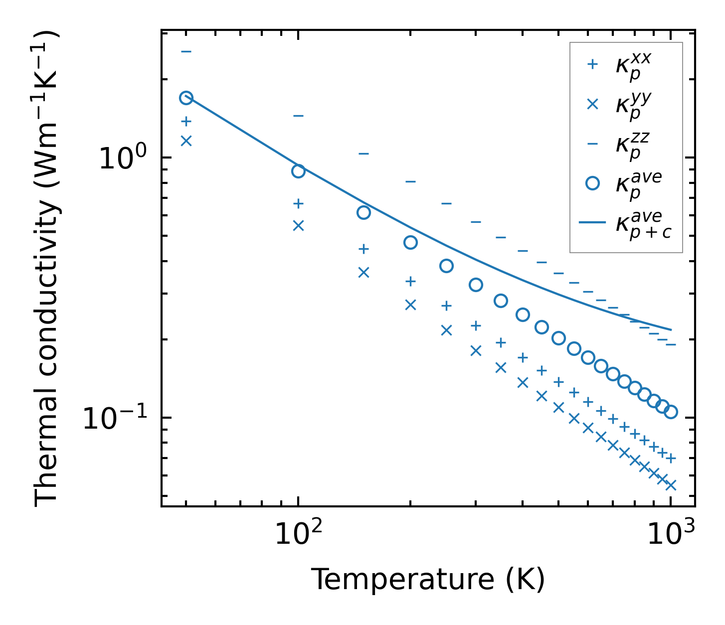
Summary

../../_images/fig_kappa772.png

(a) Temperature-dependent lattice thermal conductivity

../../_images/fig_times890.png

(b) Computation time