mp-10474-2/NaPF6/harm

Harmonic properties

../../_images/fig_bandos_pr581.png

(a) Phonon dispersion with participation ratio and DOS

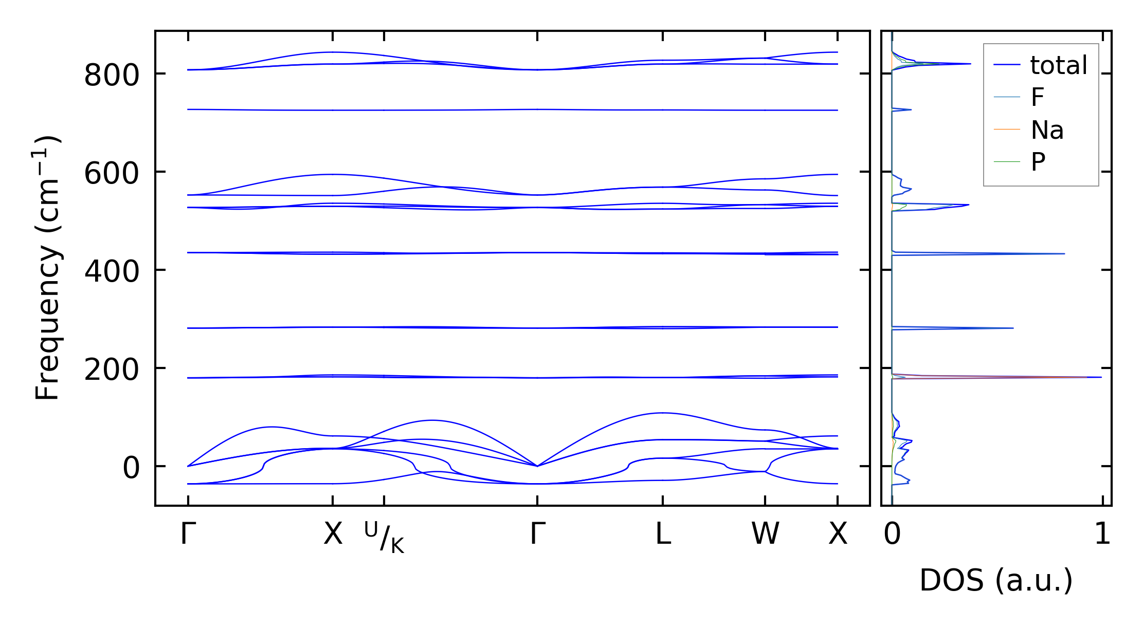
../../_images/fig_bandos507.png

(b) Phonon dispersion and DOS

../../_images/fig_thermo581.png

(c) Thermodynamic properties

Force constants

../../_images/fig_fc2499.png

(a) Force constants w.r.t atomic distance

Summary

../../_images/fig_times854.png

(a) Computation time