mp-10814/SrLiBO3/anharm

Equation of state

../../_images/fig_bm234.png

(a) Equation of state

Harmonic properties

../../_images/fig_bandos_pr659.png

(a) Phonon dispersion with participation ratio and DOS

../../_images/fig_thermo659.png

(b) Thermodynamic properties

Grüneisen parameters

../../_images/fig_gru_all433.png

(a) Grüneisen parameters

../../_images/fig_gruneisen433.png

(b) Phonon dispersion with Grüneisen parameters

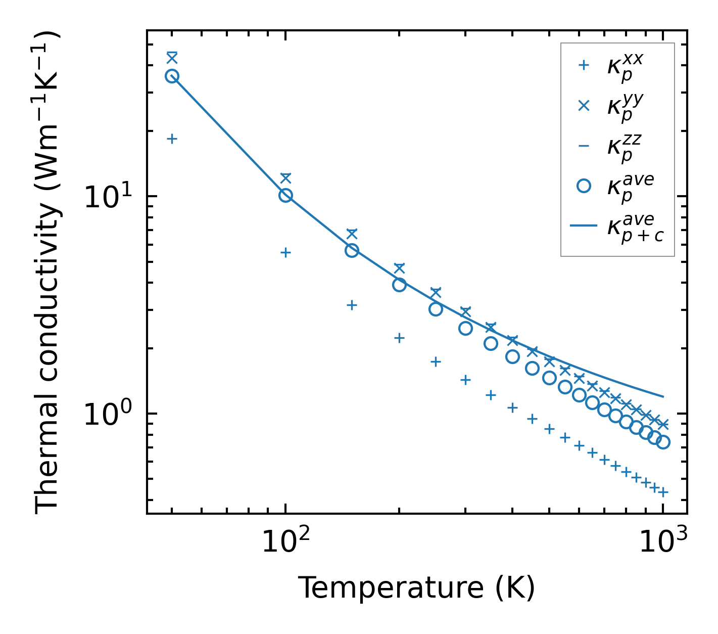
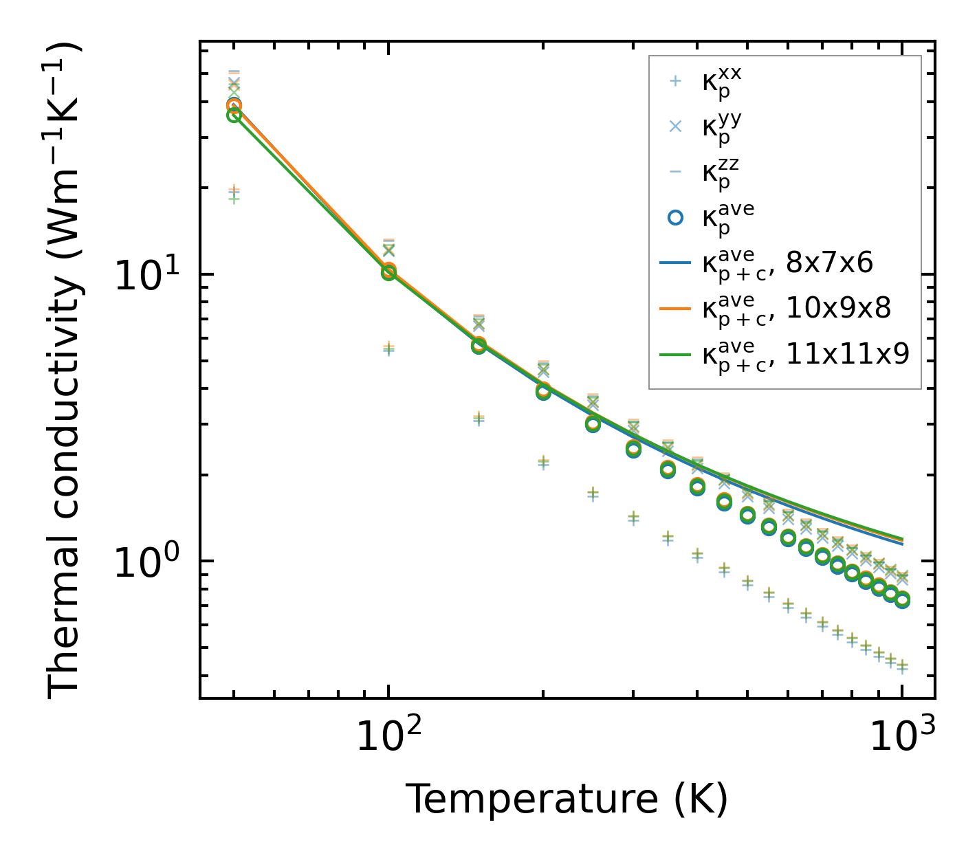
Thermal conductivity

3-phonon (LASSO) — q-mesh: 11x11x9, supercell: 2x2x1

../../_images/fig_kappa843.png

(a) Temperature-dependent lattice thermal conductivity

../../_images/fig_kappa_vs_grain_size440.png

(b) Peierls lattice thermal conductivity w.r.t grain size

Phonon lifetime and scattering rates

../../_images/fig_lifetime431.png

(a) Phonon lifetime due to phonon-phonon scattering

../../_images/fig_scat_rates430.png

(b) Phonon scattering rates

Cumulative and spectral thermal conductivity

../../_images/fig_cumu_frequency431.png

(a) Spectral and cumulative thermal conductivity w.r.t frequency

../../_images/fig_cumu_mfp431.png

(b) Spectral and cumulative thermal conductivity w.r.t MFP

Force constants

../../_images/fig_fc2570.png

(a) Force constants w.r.t atomic distance

Summary

../../_images/fig_kappa844.png

(a) Temperature-dependent lattice thermal conductivity

../../_images/fig_times955.png

(b) Computation time