mp-10776/K2SnAs2S6/anharm

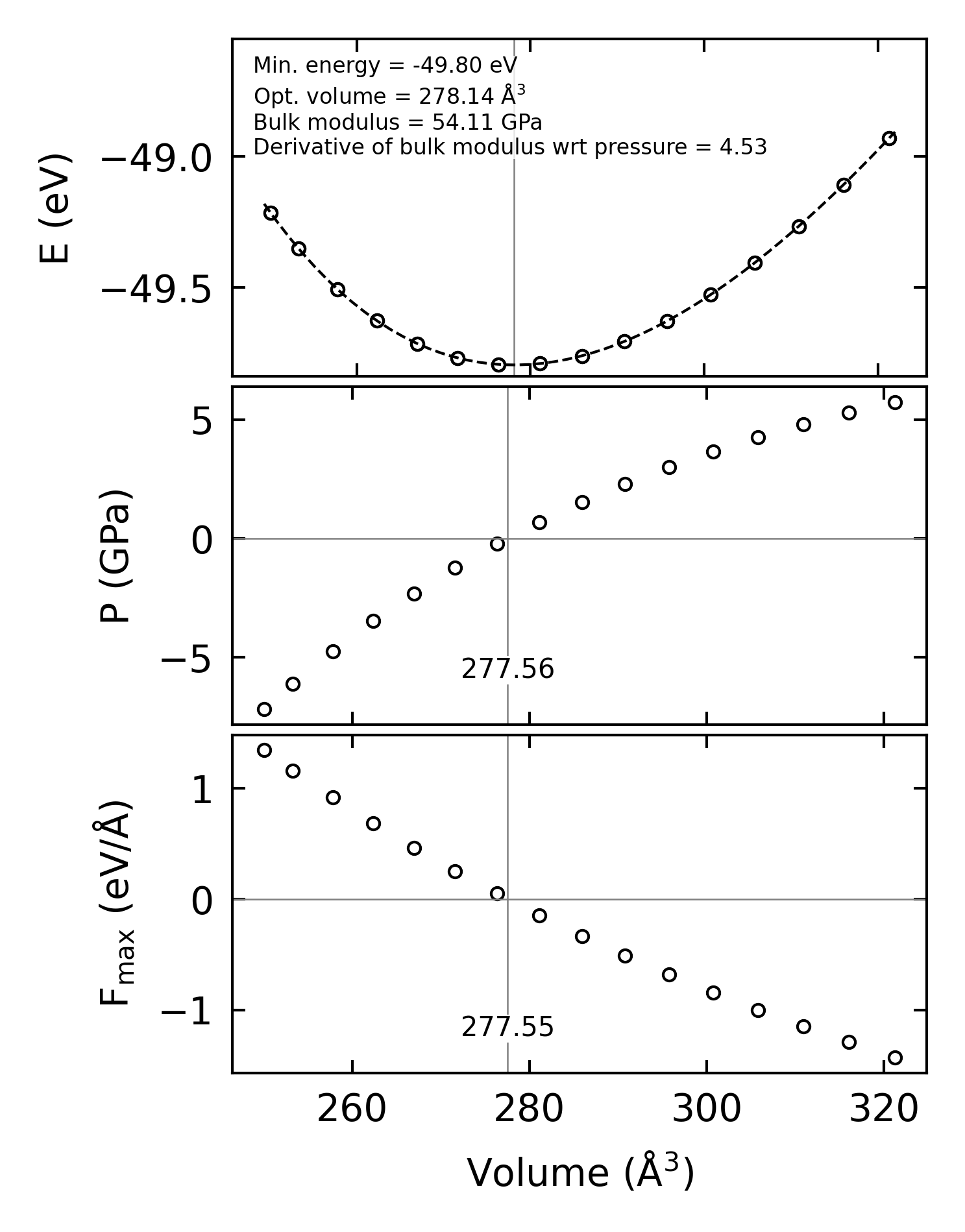
Equation of state

../../_images/fig_bm227.png

(a) Equation of state

Harmonic properties

../../_images/fig_bandos_pr642.png

(a) Phonon dispersion with participation ratio and DOS

../../_images/fig_thermo642.png

(b) Thermodynamic properties

Grüneisen parameters

../../_images/fig_gru_all422.png

(a) Grüneisen parameters

../../_images/fig_gruneisen422.png

(b) Phonon dispersion with Grüneisen parameters

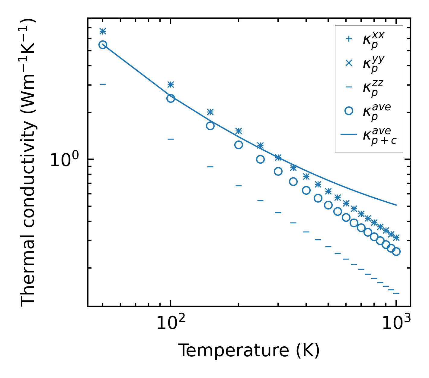
Thermal conductivity

3-phonon (LASSO) — q-mesh: 11x11x10, supercell: 2x2x2

../../_images/fig_kappa821.png

(a) Temperature-dependent lattice thermal conductivity

../../_images/fig_kappa_vs_grain_size428.png

(b) Peierls lattice thermal conductivity w.r.t grain size

Phonon lifetime and scattering rates

../../_images/fig_lifetime420.png

(a) Phonon lifetime due to phonon-phonon scattering

../../_images/fig_scat_rates419.png

(b) Phonon scattering rates

Cumulative and spectral thermal conductivity

../../_images/fig_cumu_frequency420.png

(a) Spectral and cumulative thermal conductivity w.r.t frequency

../../_images/fig_cumu_mfp420.png

(b) Spectral and cumulative thermal conductivity w.r.t MFP

Force constants

../../_images/fig_fc2555.png

(a) Force constants w.r.t atomic distance

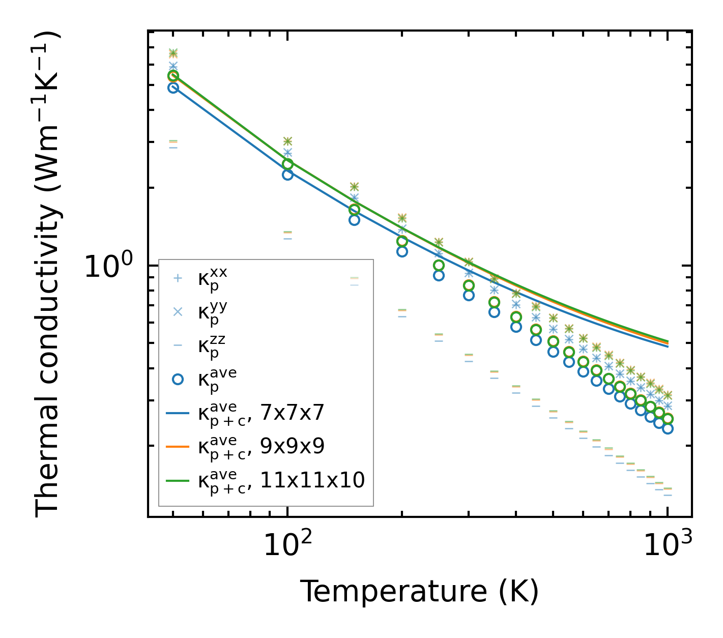
Summary

../../_images/fig_kappa822.png

(a) Temperature-dependent lattice thermal conductivity

../../_images/fig_times936.png

(b) Computation time