mp-10811/NaSr4B3N6/anharm

Equation of state

../../_images/fig_bm233.png

(a) Equation of state

Harmonic properties

../../_images/fig_bandos_pr658.png

(a) Phonon dispersion with participation ratio and DOS

../../_images/fig_thermo658.png

(b) Thermodynamic properties

Grüneisen parameters

../../_images/fig_gru_all432.png

(a) Grüneisen parameters

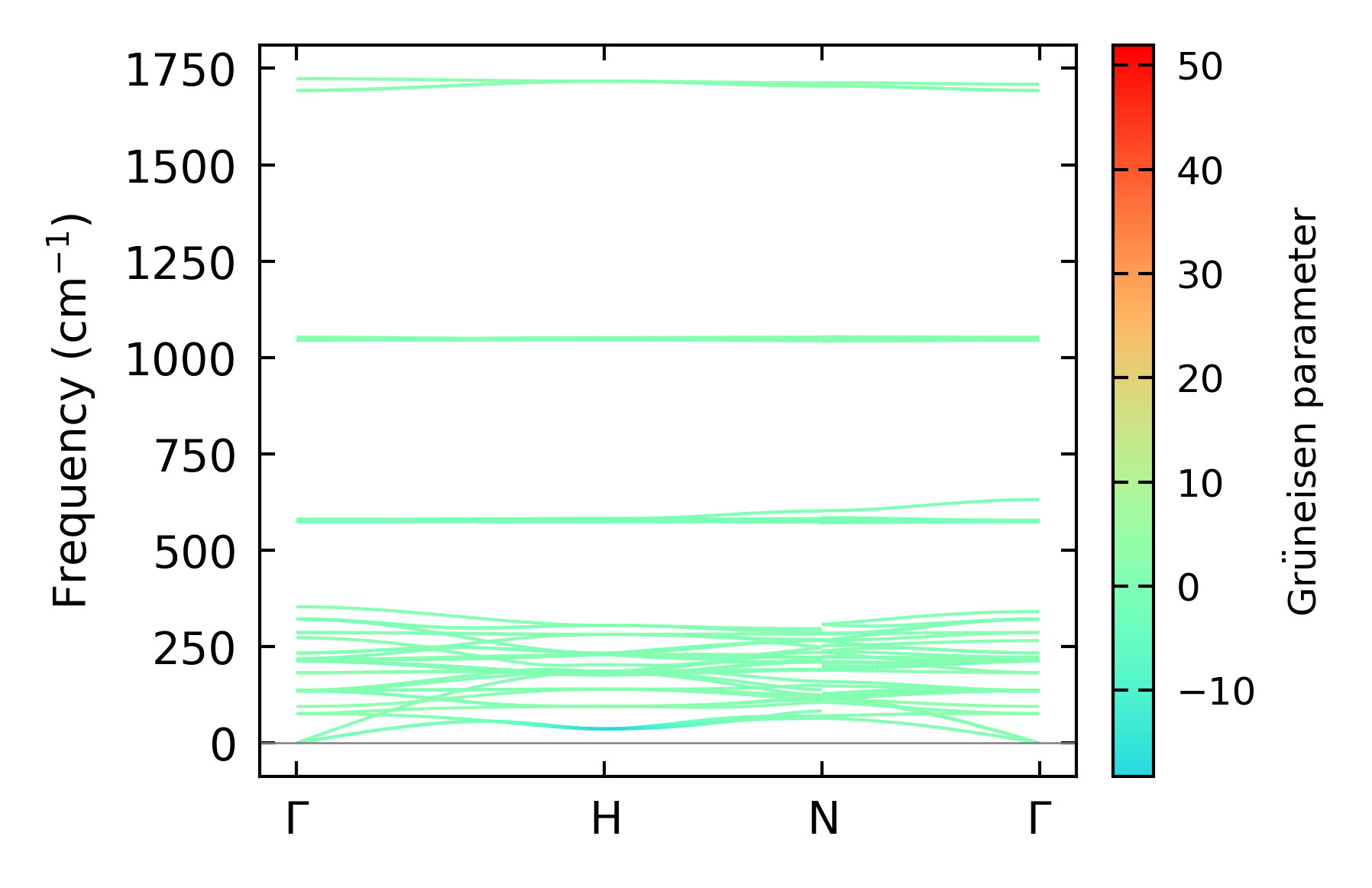
../../_images/fig_gruneisen432.png

(b) Phonon dispersion with Grüneisen parameters

Thermal conductivity

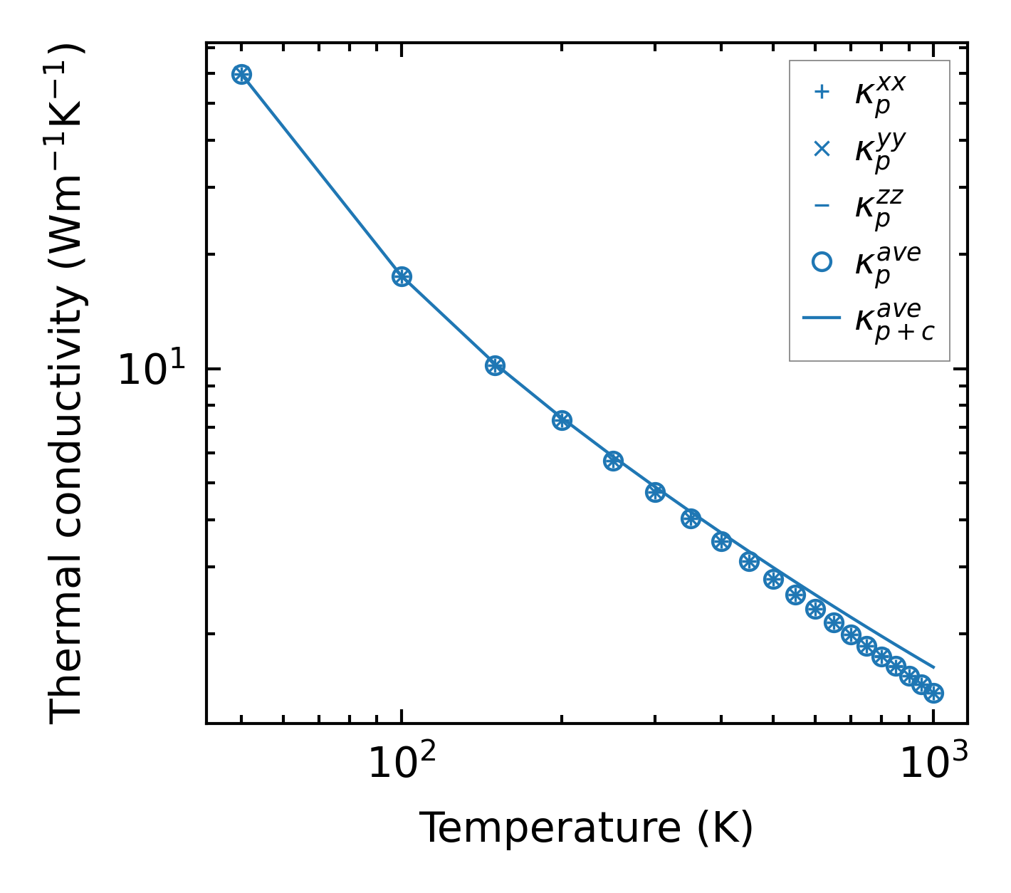
3-phonon (LASSO) — q-mesh: 12x12x12, supercell: 1x1x1

../../_images/fig_kappa840.png

(a) Temperature-dependent lattice thermal conductivity

../../_images/fig_kappa_vs_grain_size438.png

(b) Peierls lattice thermal conductivity w.r.t grain size

3-phonon (LASSO), supercell 2x2x2 — q-mesh: 12x12x12, supercell: 2x2x2

../../_images/fig_kappa841.png

(a) Temperature-dependent lattice thermal conductivity

../../_images/fig_kappa_vs_grain_size439.png

(b) Peierls lattice thermal conductivity w.r.t grain size

Phonon lifetime and scattering rates

../../_images/fig_lifetime430.png

(a) Phonon lifetime due to phonon-phonon scattering

../../_images/fig_scat_rates429.png

(b) Phonon scattering rates

Cumulative and spectral thermal conductivity

../../_images/fig_cumu_frequency430.png

(a) Spectral and cumulative thermal conductivity w.r.t frequency

../../_images/fig_cumu_mfp430.png

(b) Spectral and cumulative thermal conductivity w.r.t MFP

Force constants

../../_images/fig_fc2569.png

(a) Force constants w.r.t atomic distance

Summary

../../_images/fig_kappa842.png

(a) Temperature-dependent lattice thermal conductivity

../../_images/fig_times954.png

(b) Computation time