mp-10771/Dy4Si3S12/anharm

Equation of state

../../_images/fig_bm226.png

(a) Equation of state

Harmonic properties

../../_images/fig_bandos_pr640.png

(a) Phonon dispersion with participation ratio and DOS

../../_images/fig_thermo640.png

(b) Thermodynamic properties

Grüneisen parameters

../../_images/fig_gru_all420.png

(a) Grüneisen parameters

../../_images/fig_gruneisen420.png

(b) Phonon dispersion with Grüneisen parameters

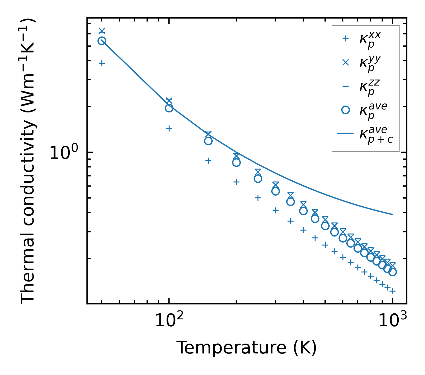
Thermal conductivity

3-phonon (LASSO) — q-mesh: 7x6x4, supercell: 1x1x1

../../_images/fig_kappa817.png

(a) Temperature-dependent lattice thermal conductivity

../../_images/fig_kappa_vs_grain_size426.png

(b) Peierls lattice thermal conductivity w.r.t grain size

Phonon lifetime and scattering rates

../../_images/fig_lifetime418.png

(a) Phonon lifetime due to phonon-phonon scattering

../../_images/fig_scat_rates417.png

(b) Phonon scattering rates

Cumulative and spectral thermal conductivity

../../_images/fig_cumu_frequency418.png

(a) Spectral and cumulative thermal conductivity w.r.t frequency

../../_images/fig_cumu_mfp418.png

(b) Spectral and cumulative thermal conductivity w.r.t MFP

Force constants

../../_images/fig_fc2553.png

(a) Force constants w.r.t atomic distance

Summary

../../_images/fig_kappa818.png

(a) Temperature-dependent lattice thermal conductivity

../../_images/fig_times934.png

(b) Computation time