mp-10615/BaLiP/anharm

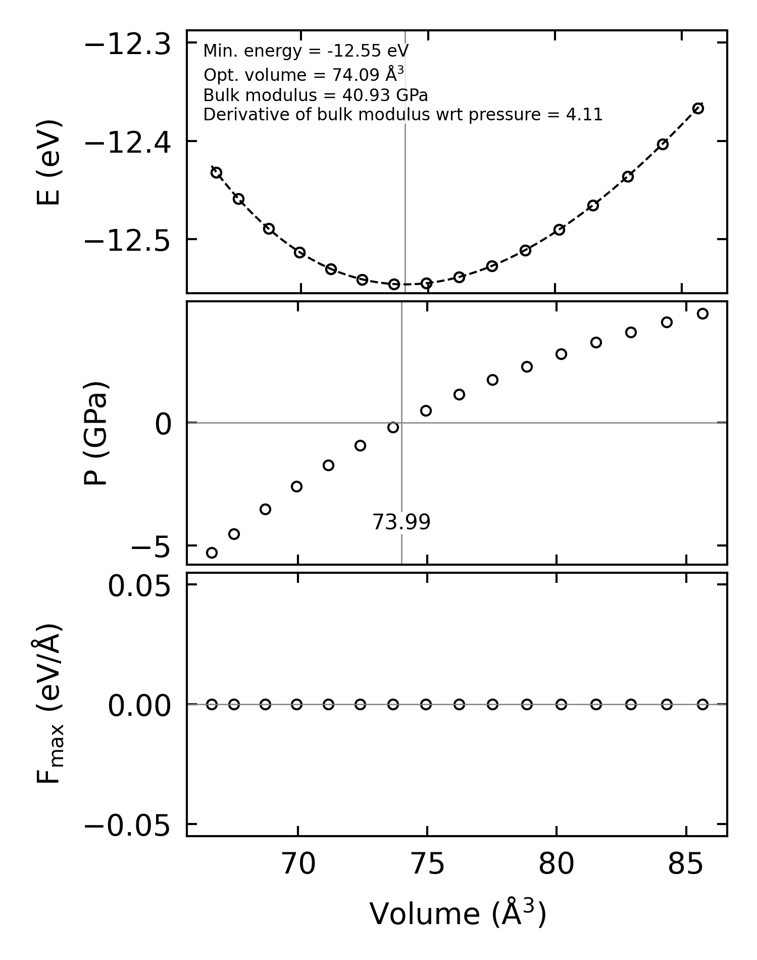
Equation of state

../../_images/fig_bm213.png

(a) Equation of state

Harmonic properties

../../_images/fig_bandos_pr616.png

(a) Phonon dispersion with participation ratio and DOS

../../_images/fig_thermo616.png

(b) Thermodynamic properties

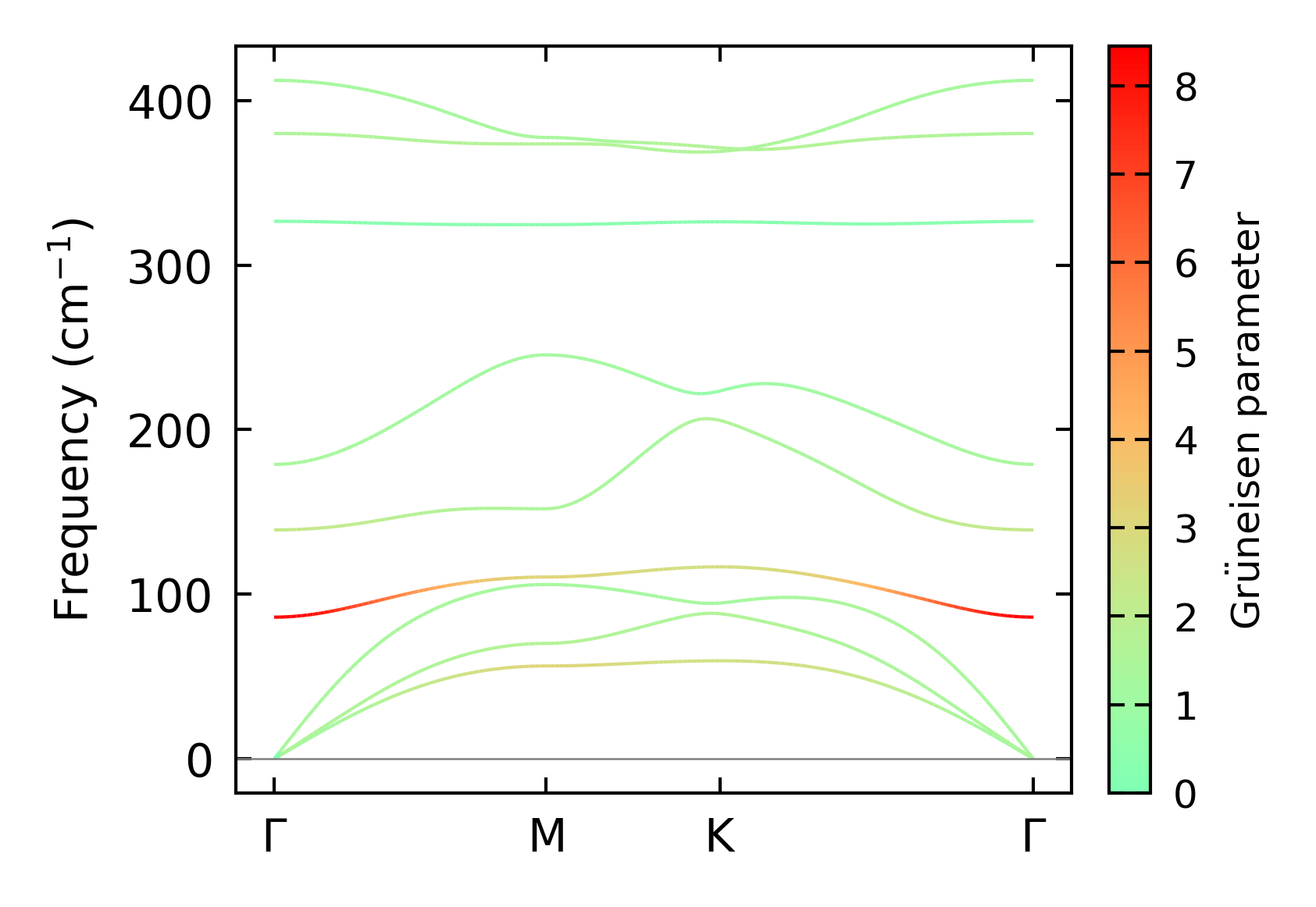
Grüneisen parameters

../../_images/fig_gru_all404.png

(a) Grüneisen parameters

../../_images/fig_gruneisen404.png

(b) Phonon dispersion with Grüneisen parameters

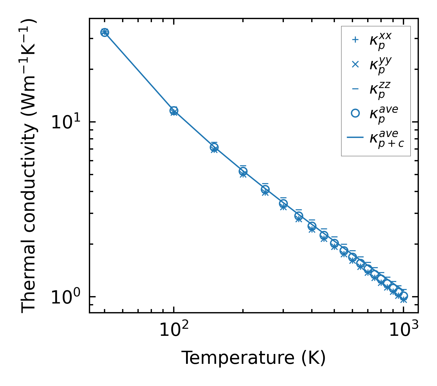
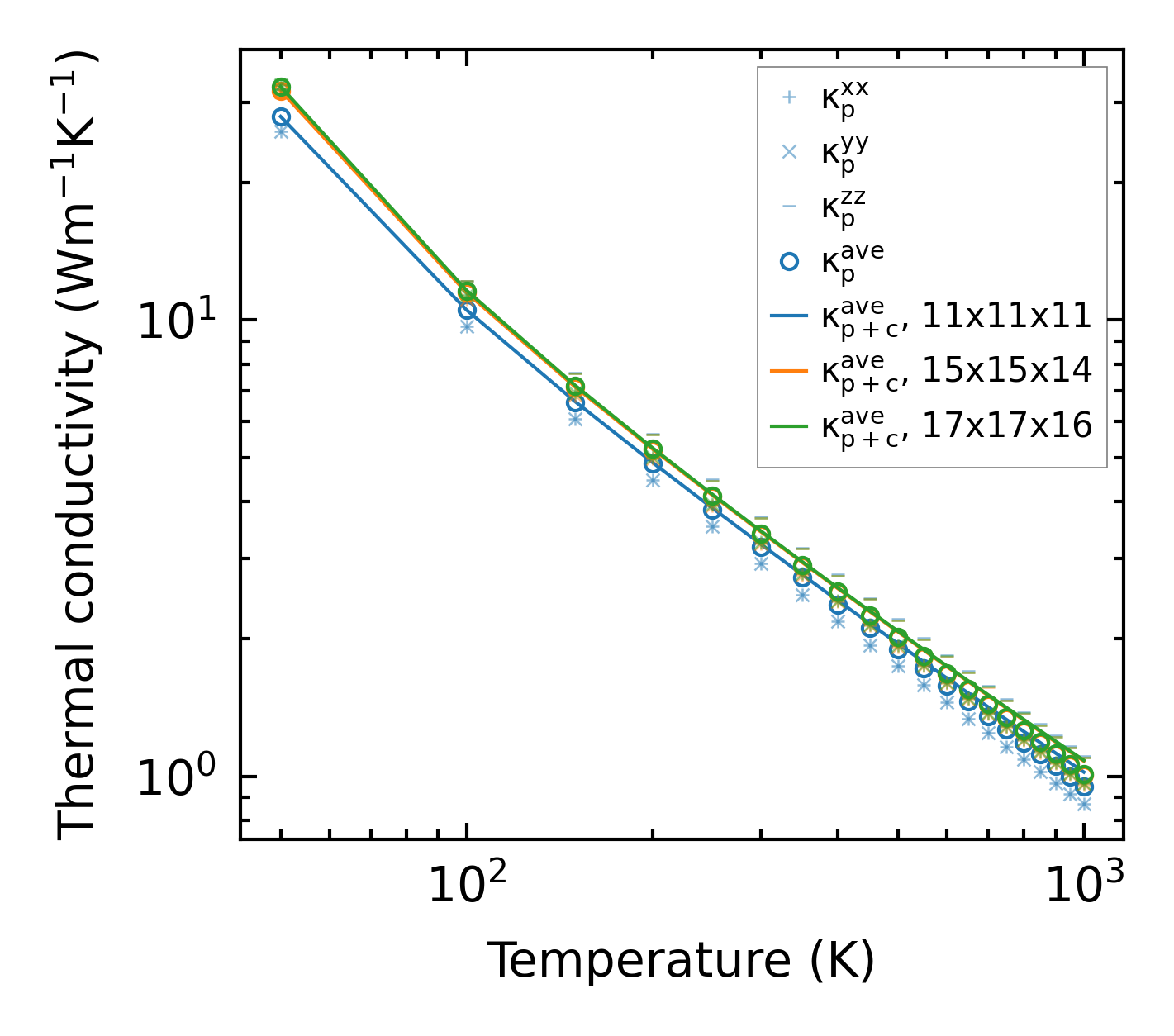
Thermal conductivity

3-phonon (LASSO) — q-mesh: 17x17x16, supercell: 4x4x3

../../_images/fig_kappa786.png

(a) Temperature-dependent lattice thermal conductivity

../../_images/fig_kappa_vs_grain_size410.png

(b) Peierls lattice thermal conductivity w.r.t grain size

Phonon lifetime and scattering rates

../../_images/fig_lifetime402.png

(a) Phonon lifetime due to phonon-phonon scattering

../../_images/fig_scat_rates401.png

(b) Phonon scattering rates

Cumulative and spectral thermal conductivity

../../_images/fig_cumu_frequency402.png

(a) Spectral and cumulative thermal conductivity w.r.t frequency

../../_images/fig_cumu_mfp402.png

(b) Spectral and cumulative thermal conductivity w.r.t MFP

Force constants

../../_images/fig_fc2533.png

(a) Force constants w.r.t atomic distance

Summary

../../_images/fig_kappa787.png

(a) Temperature-dependent lattice thermal conductivity

../../_images/fig_times901.png

(b) Computation time