mp-10760/MgSe/anharm

Equation of state

../../_images/fig_bm225.png

(a) Equation of state

Harmonic properties

../../_images/fig_bandos_pr638.png

(a) Phonon dispersion with participation ratio and DOS

../../_images/fig_thermo638.png

(b) Thermodynamic properties

Grüneisen parameters

../../_images/fig_gru_all418.png

(a) Grüneisen parameters

../../_images/fig_gruneisen418.png

(b) Phonon dispersion with Grüneisen parameters

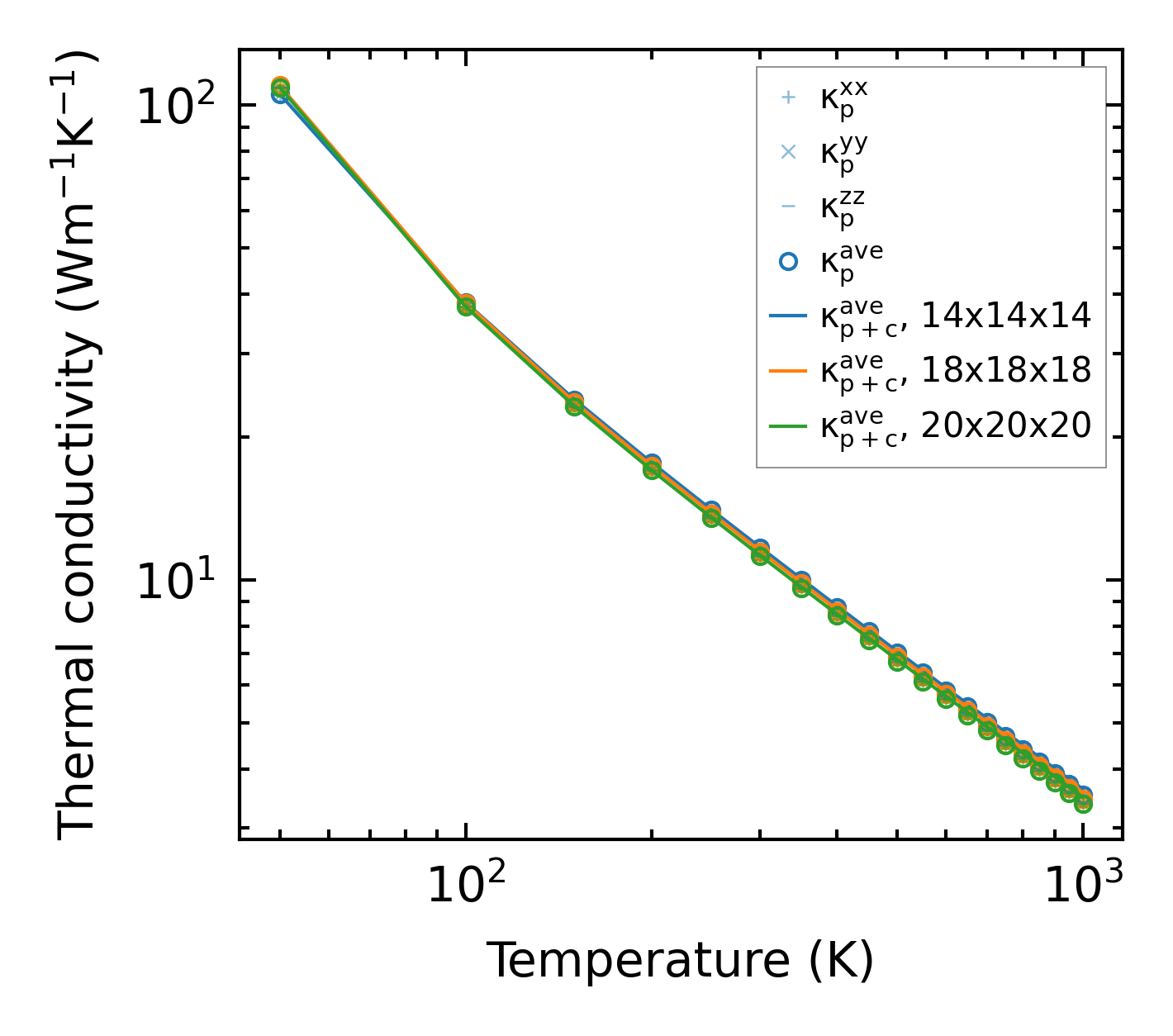
Thermal conductivity

3-phonon (LASSO) — q-mesh: 20x20x20, supercell: 2x2x2

../../_images/fig_kappa813.png

(a) Temperature-dependent lattice thermal conductivity

../../_images/fig_kappa_vs_grain_size424.png

(b) Peierls lattice thermal conductivity w.r.t grain size

Phonon lifetime and scattering rates

../../_images/fig_lifetime416.png

(a) Phonon lifetime due to phonon-phonon scattering

../../_images/fig_scat_rates415.png

(b) Phonon scattering rates

Cumulative and spectral thermal conductivity

../../_images/fig_cumu_frequency416.png

(a) Spectral and cumulative thermal conductivity w.r.t frequency

../../_images/fig_cumu_mfp416.png

(b) Spectral and cumulative thermal conductivity w.r.t MFP

Force constants

../../_images/fig_fc2552.png

(a) Force constants w.r.t atomic distance

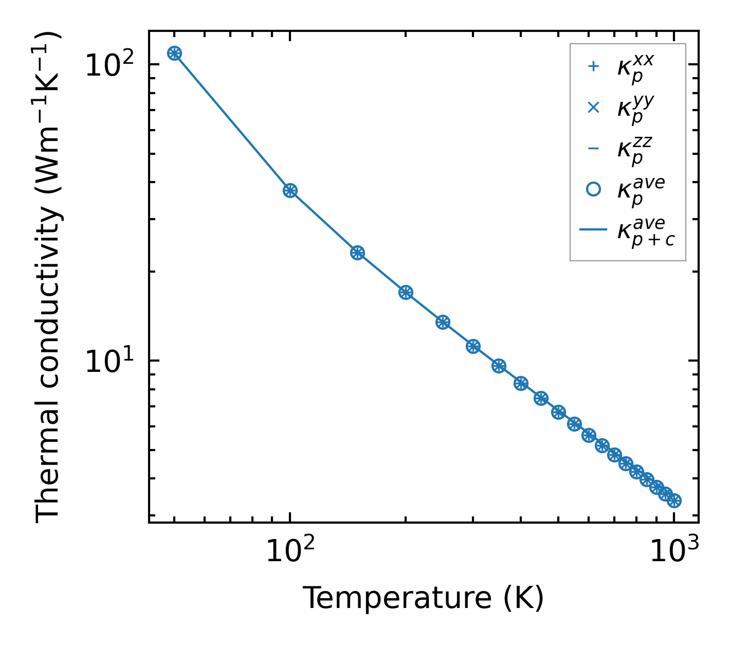
Summary

../../_images/fig_kappa814.png

(a) Temperature-dependent lattice thermal conductivity

../../_images/fig_times932.png

(b) Computation time