mp-10191/Lu2MgSe4/anharm

Harmonic properties

../../_images/fig_bandos_pr520.png

(a) Phonon dispersion with participation ratio and DOS

../../_images/fig_thermo520.png

(b) Thermodynamic properties

Grüneisen parameters

../../_images/fig_gru_all350.png

(a) Grüneisen parameters

../../_images/fig_gruneisen350.png

(b) Phonon dispersion with Grüneisen parameters

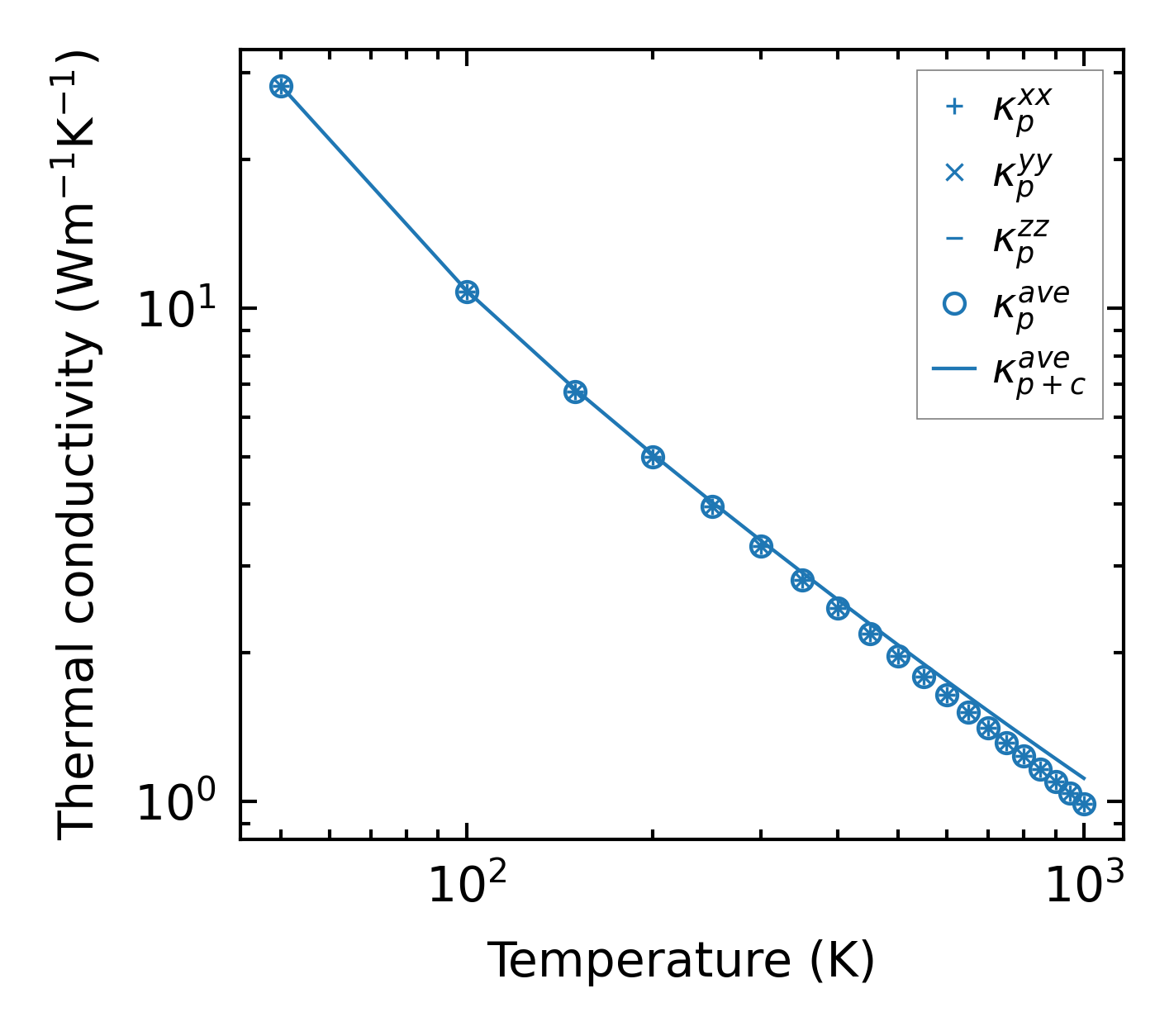
Thermal conductivity

3-phonon — q-mesh: 10x10x10, supercell: 1x1x1

../../_images/fig_kappa678.png

(a) Temperature-dependent lattice thermal conductivity

../../_images/fig_kappa_vs_grain_size353.png

(b) Peierls lattice thermal conductivity w.r.t grain size

Phonon lifetime and scattering rates

../../_images/fig_lifetime348.png

(a) Phonon lifetime due to phonon-phonon scattering

../../_images/fig_scat_rates347.png

(b) Phonon scattering rates

Cumulative and spectral thermal conductivity

../../_images/fig_cumu_frequency348.png

(a) Spectral and cumulative thermal conductivity w.r.t frequency

../../_images/fig_cumu_mfp348.png

(b) Spectral and cumulative thermal conductivity w.r.t MFP

Force constants

../../_images/fig_fc377.png

(a) Force constants w.r.t atomic distance

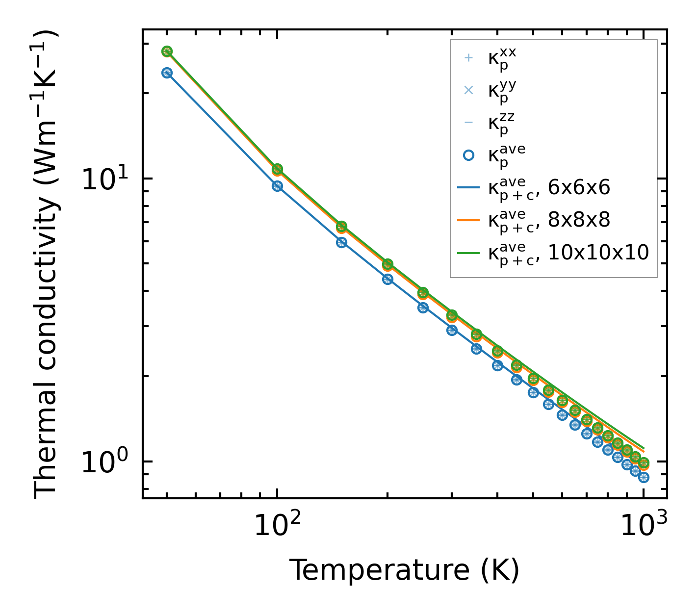
Summary

../../_images/fig_kappa679.png

(a) Temperature-dependent lattice thermal conductivity

../../_images/fig_times778.png

(b) Computation time