mp-10914/K3Cu5O4/anharm

Harmonic properties

../../_images/fig_bandos_pr669.png

(a) Phonon dispersion with participation ratio and DOS

../../_images/fig_thermo669.png

(b) Thermodynamic properties

Grüneisen parameters

../../_images/fig_gru_all442.png

(a) Grüneisen parameters

../../_images/fig_gruneisen442.png

(b) Phonon dispersion with Grüneisen parameters

Thermal conductivity

3-phonon (LASSO) — q-mesh: 7x10x5, supercell: 1x2x1

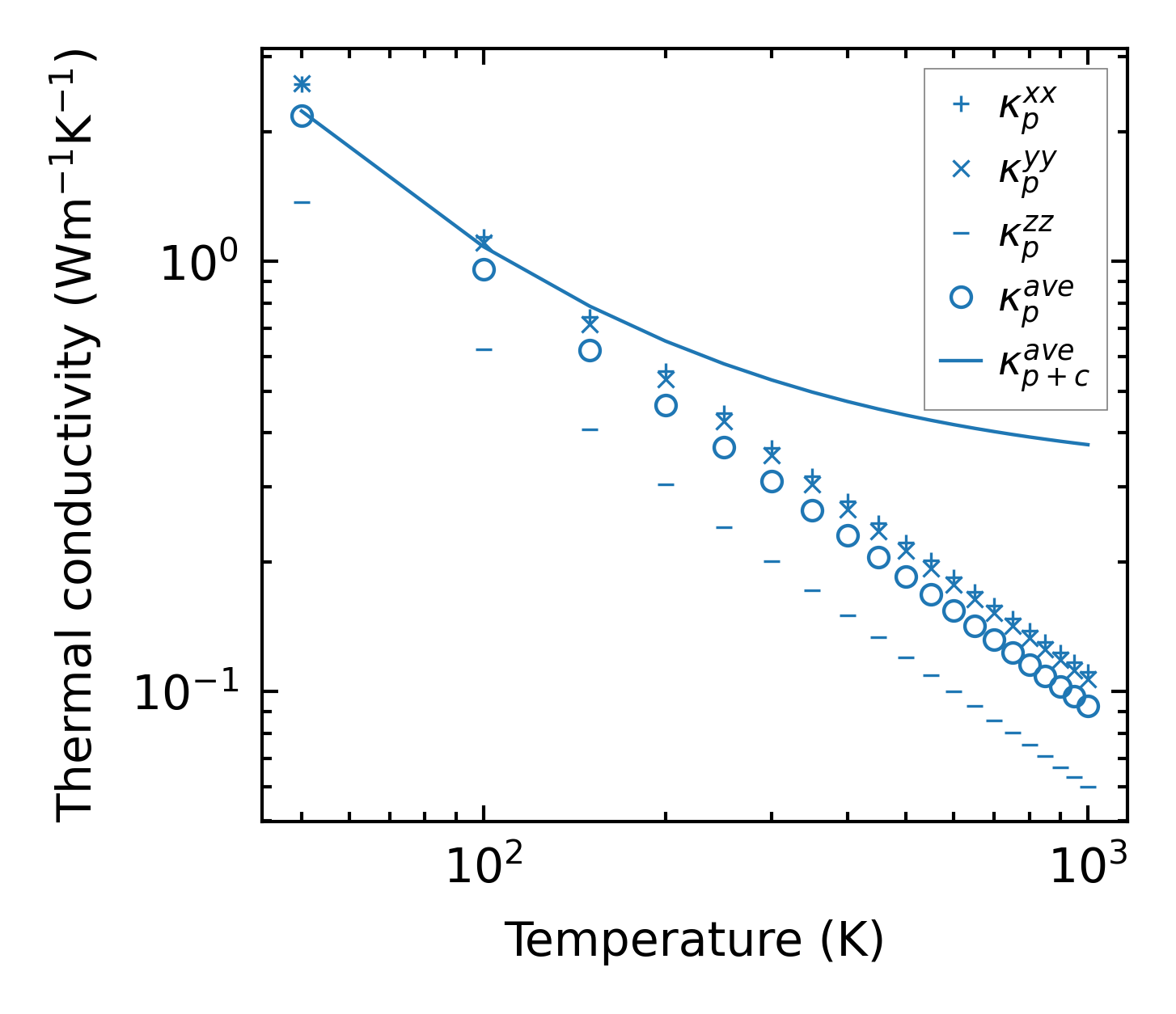
../../_images/fig_kappa860.png

(a) Temperature-dependent lattice thermal conductivity

../../_images/fig_kappa_vs_grain_size449.png

(b) Peierls lattice thermal conductivity w.r.t grain size

Phonon lifetime and scattering rates

../../_images/fig_lifetime440.png

(a) Phonon lifetime due to phonon-phonon scattering

../../_images/fig_scat_rates439.png

(b) Phonon scattering rates

Cumulative and spectral thermal conductivity

../../_images/fig_cumu_frequency440.png

(a) Spectral and cumulative thermal conductivity w.r.t frequency

../../_images/fig_cumu_mfp440.png

(b) Spectral and cumulative thermal conductivity w.r.t MFP

Force constants

../../_images/fig_fc2580.png

(a) Force constants w.r.t atomic distance

Summary

../../_images/fig_kappa861.png

(a) Temperature-dependent lattice thermal conductivity

../../_images/fig_times968.png

(b) Computation time