mp-10314/YbZn2As2/anharm

Harmonic properties

../../_images/fig_bandos_pr535.png

(a) Phonon dispersion with participation ratio and DOS

../../_images/fig_thermo535.png

(b) Thermodynamic properties

Grüneisen parameters

../../_images/fig_gru_all364.png

(a) Grüneisen parameters

../../_images/fig_gruneisen364.png

(b) Phonon dispersion with Grüneisen parameters

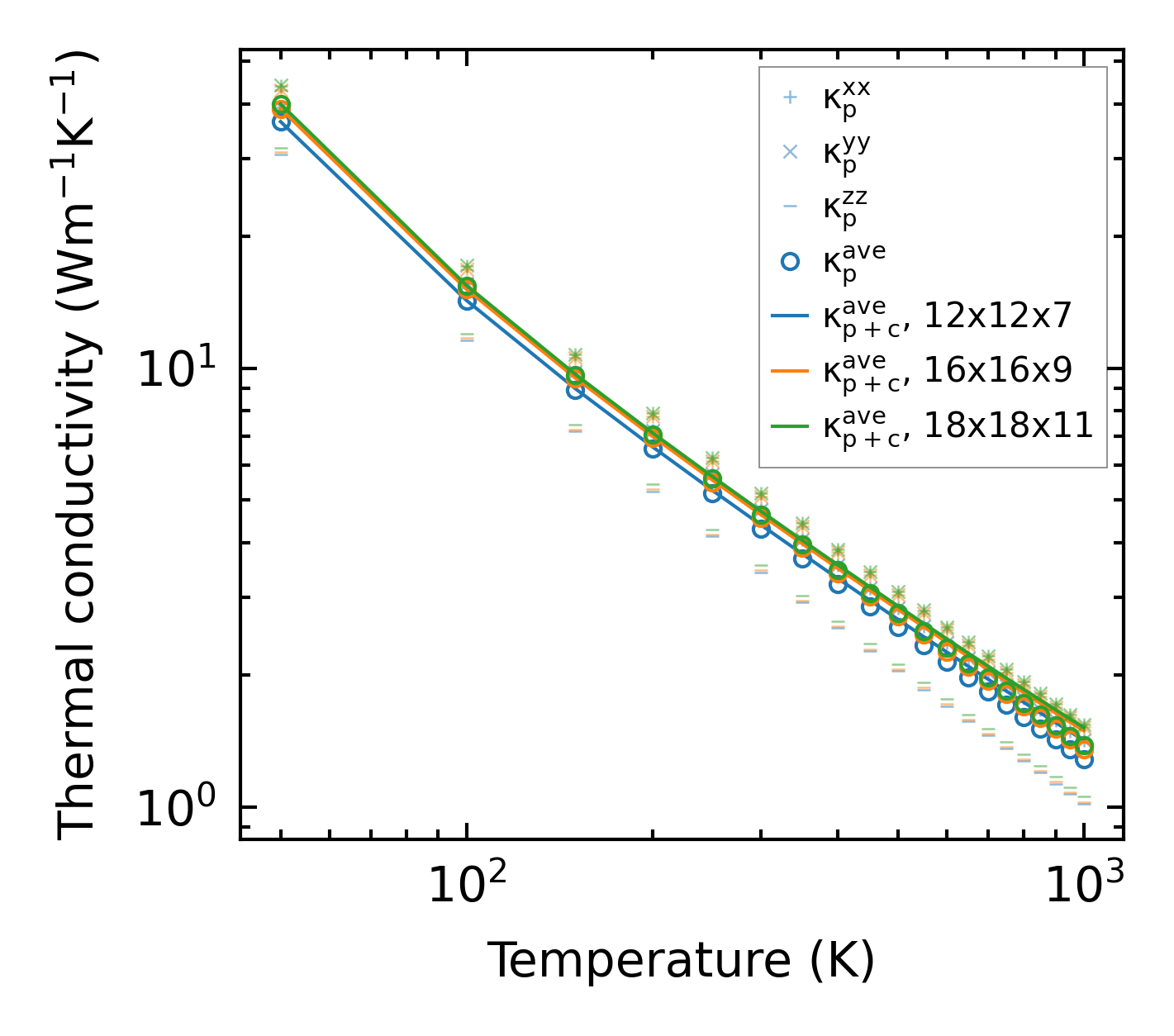
Thermal conductivity

3-phonon (LASSO) — q-mesh: 18x18x11, supercell: 3x3x2

../../_images/fig_kappa706.png

(a) Temperature-dependent lattice thermal conductivity

../../_images/fig_kappa_vs_grain_size368.png

(b) Peierls lattice thermal conductivity w.r.t grain size

Phonon lifetime and scattering rates

../../_images/fig_lifetime362.png

(a) Phonon lifetime due to phonon-phonon scattering

../../_images/fig_scat_rates361.png

(b) Phonon scattering rates

Cumulative and spectral thermal conductivity

../../_images/fig_cumu_frequency362.png

(a) Spectral and cumulative thermal conductivity w.r.t frequency

../../_images/fig_cumu_mfp362.png

(b) Spectral and cumulative thermal conductivity w.r.t MFP

Force constants

../../_images/fig_fc2455.png

(a) Force constants w.r.t atomic distance

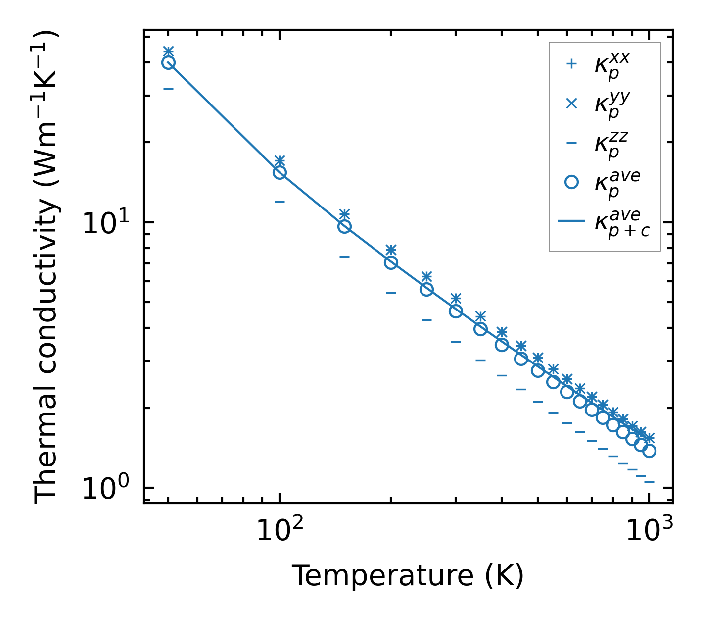
Summary

../../_images/fig_kappa707.png

(a) Temperature-dependent lattice thermal conductivity

../../_images/fig_times794.png

(b) Computation time