mp-10621-2/RbSbS2/anharm

Equation of state

../../_images/fig_bm215.png

(a) Equation of state

Harmonic properties

../../_images/fig_bandos_pr621.png

(a) Phonon dispersion with participation ratio and DOS

../../_images/fig_bandos537.png

(b) Phonon dispersion and DOS

../../_images/fig_thermo621.png

(c) Thermodynamic properties

Grüneisen parameters

../../_images/fig_gru_all408.png

(a) Grüneisen parameters

../../_images/fig_gruneisen408.png

(b) Phonon dispersion with Grüneisen parameters

Thermal conductivity

3-phonon (LASSO), supercell 3x2x2 — q-mesh: 11x11x6, supercell: 3x2x2

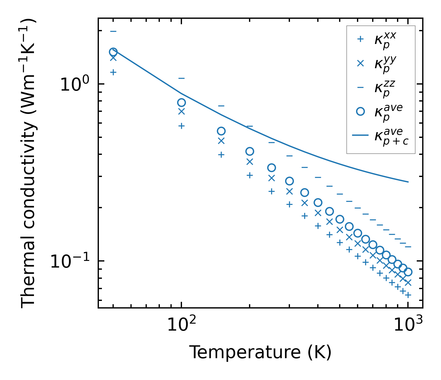
../../_images/fig_kappa794.png

(a) Temperature-dependent lattice thermal conductivity

../../_images/fig_kappa_vs_grain_size414.png

(b) Peierls lattice thermal conductivity w.r.t grain size

Phonon lifetime and scattering rates

../../_images/fig_lifetime406.png

(a) Phonon lifetime due to phonon-phonon scattering

../../_images/fig_scat_rates405.png

(b) Phonon scattering rates

Cumulative and spectral thermal conductivity

../../_images/fig_cumu_frequency406.png

(a) Spectral and cumulative thermal conductivity w.r.t frequency

../../_images/fig_cumu_mfp406.png

(b) Spectral and cumulative thermal conductivity w.r.t MFP

Force constants

../../_images/fig_fc2538.png

(a) Force constants w.r.t atomic distance

Summary

../../_images/fig_times908.png

(a) Computation time