mp-10623/ThSbRh/anharm

Harmonic properties

../../_images/fig_bandos_pr622.png

(a) Phonon dispersion with participation ratio and DOS

../../_images/fig_thermo622.png

(b) Thermodynamic properties

Grüneisen parameters

../../_images/fig_gru_all409.png

(a) Grüneisen parameters

../../_images/fig_gruneisen409.png

(b) Phonon dispersion with Grüneisen parameters

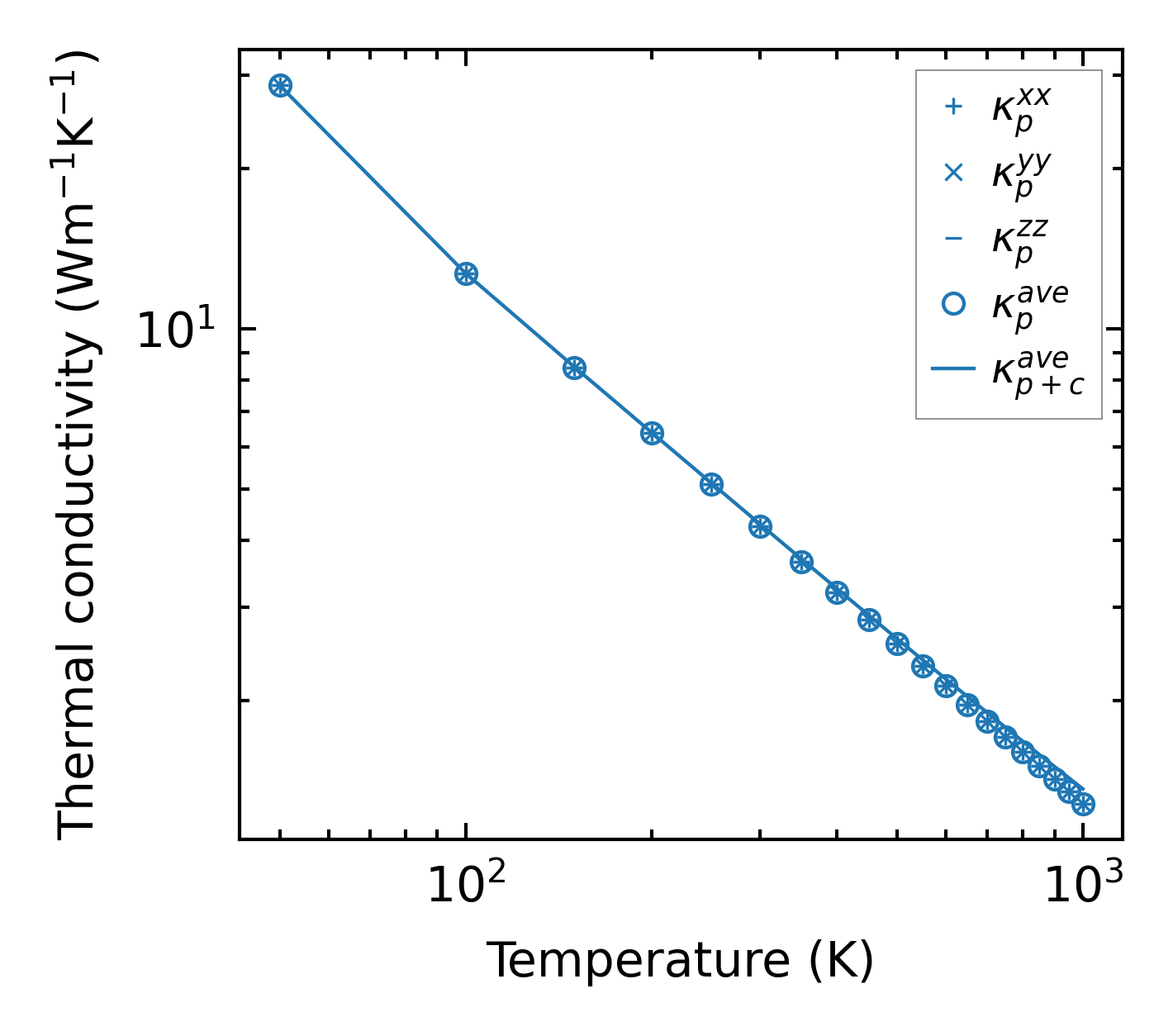
Thermal conductivity

3-phonon — q-mesh: 17x17x17, supercell: 2x2x2

../../_images/fig_kappa795.png

(a) Temperature-dependent lattice thermal conductivity

../../_images/fig_kappa_vs_grain_size415.png

(b) Peierls lattice thermal conductivity w.r.t grain size

Phonon lifetime and scattering rates

../../_images/fig_lifetime407.png

(a) Phonon lifetime due to phonon-phonon scattering

../../_images/fig_scat_rates406.png

(b) Phonon scattering rates

Cumulative and spectral thermal conductivity

../../_images/fig_cumu_frequency407.png

(a) Spectral and cumulative thermal conductivity w.r.t frequency

../../_images/fig_cumu_mfp407.png

(b) Spectral and cumulative thermal conductivity w.r.t MFP

Force constants

../../_images/fig_fc383.png

(a) Force constants w.r.t atomic distance

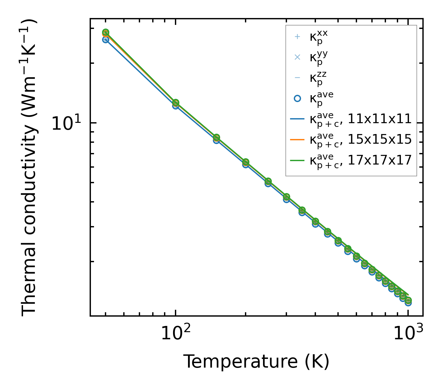
Summary

../../_images/fig_kappa796.png

(a) Temperature-dependent lattice thermal conductivity

../../_images/fig_times909.png

(b) Computation time