mp-10488/Cs2TiAg2S4/anharm

Harmonic properties

../../_images/fig_bandos_pr589.png

(a) Phonon dispersion with participation ratio and DOS

../../_images/fig_thermo589.png

(b) Thermodynamic properties

Grüneisen parameters

../../_images/fig_gru_all386.png

(a) Grüneisen parameters

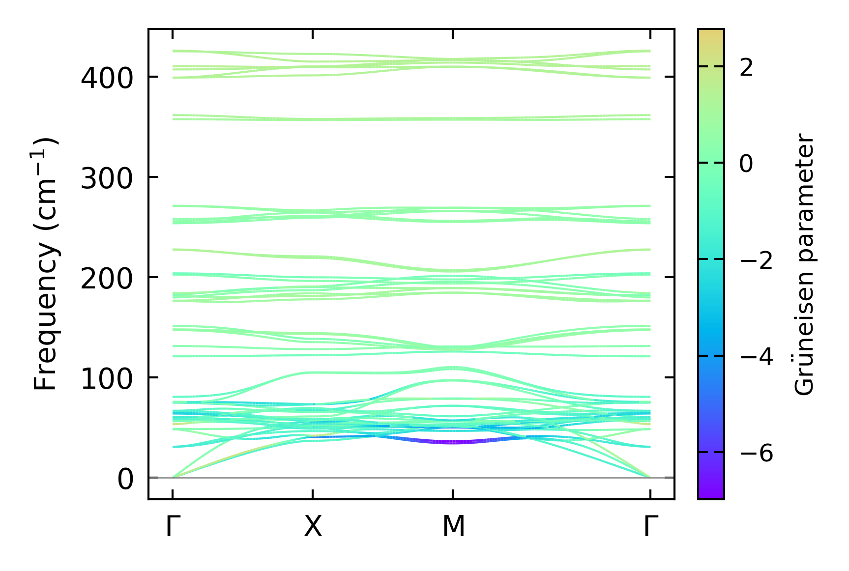
../../_images/fig_gruneisen386.png

(b) Phonon dispersion with Grüneisen parameters

Thermal conductivity

3-phonon (LASSO) — q-mesh: 12x12x5, supercell: 2x2x1

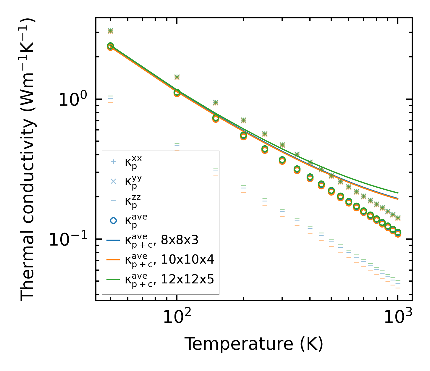
../../_images/fig_kappa751.png

(a) Temperature-dependent lattice thermal conductivity

../../_images/fig_kappa_vs_grain_size392.png

(b) Peierls lattice thermal conductivity w.r.t grain size

Phonon lifetime and scattering rates

../../_images/fig_lifetime384.png

(a) Phonon lifetime due to phonon-phonon scattering

../../_images/fig_scat_rates383.png

(b) Phonon scattering rates

Cumulative and spectral thermal conductivity

../../_images/fig_cumu_frequency384.png

(a) Spectral and cumulative thermal conductivity w.r.t frequency

../../_images/fig_cumu_mfp384.png

(b) Spectral and cumulative thermal conductivity w.r.t MFP

Force constants

../../_images/fig_fc2507.png

(a) Force constants w.r.t atomic distance

Summary

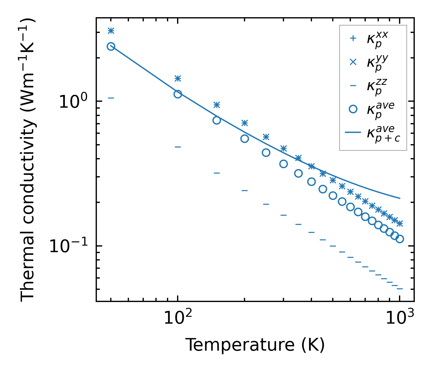
../../_images/fig_kappa752.png

(a) Temperature-dependent lattice thermal conductivity

../../_images/fig_times866.png

(b) Computation time