mp-10409/Ba4Nd2Cd3Se10/anharm

Equation of state

../../_images/fig_bm182.png

(a) Equation of state

Harmonic properties

../../_images/fig_bandos_pr557.png

(a) Phonon dispersion with participation ratio and DOS

../../_images/fig_bandos483.png

(b) Phonon dispersion and DOS

../../_images/fig_thermo557.png

(c) Thermodynamic properties

Grüneisen parameters

../../_images/fig_gru_all374.png

(a) Grüneisen parameters

../../_images/fig_gruneisen374.png

(b) Phonon dispersion with Grüneisen parameters

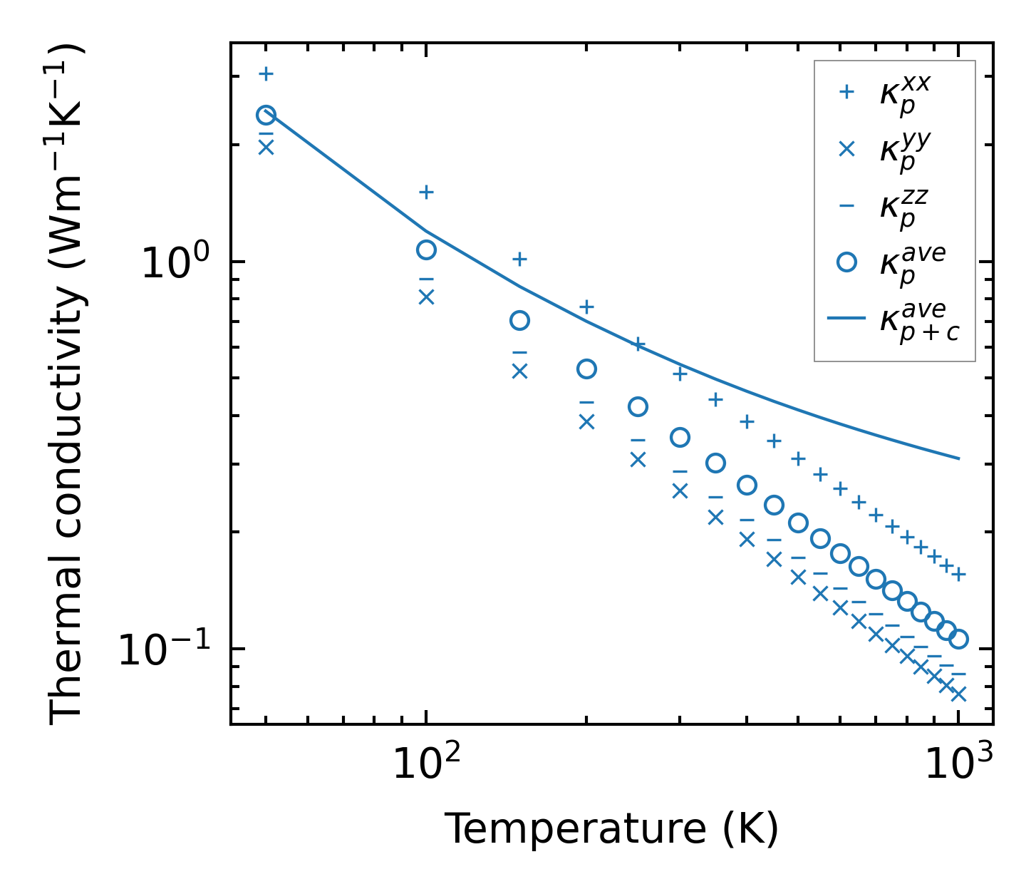
Thermal conductivity

3-phonon (LASSO), supercell 2x1x1 — q-mesh: 9x9x3, supercell: 2x1x1

../../_images/fig_kappa726.png

(a) Temperature-dependent lattice thermal conductivity

../../_images/fig_kappa_vs_grain_size378.png

(b) Peierls lattice thermal conductivity w.r.t grain size

Phonon lifetime and scattering rates

../../_images/fig_lifetime372.png

(a) Phonon lifetime due to phonon-phonon scattering

../../_images/fig_scat_rates371.png

(b) Phonon scattering rates

Cumulative and spectral thermal conductivity

../../_images/fig_cumu_frequency372.png

(a) Spectral and cumulative thermal conductivity w.r.t frequency

../../_images/fig_cumu_mfp372.png

(b) Spectral and cumulative thermal conductivity w.r.t MFP

Force constants

../../_images/fig_fc2477.png

(a) Force constants w.r.t atomic distance

Summary

../../_images/fig_times823.png

(a) Computation time