mp-10821-2/RbC/anharm

Equation of state

../../_images/fig_bm236.png

(a) Equation of state

Harmonic properties

../../_images/fig_bandos_pr662.png

(a) Phonon dispersion with participation ratio and DOS

../../_images/fig_bandos561.png

(b) Phonon dispersion and DOS

../../_images/fig_thermo662.png

(c) Thermodynamic properties

Grüneisen parameters

../../_images/fig_gru_all436.png

(a) Grüneisen parameters

../../_images/fig_gruneisen436.png

(b) Phonon dispersion with Grüneisen parameters

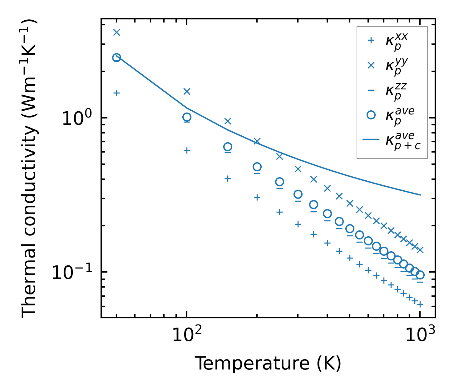
Thermal conductivity

3-phonon (LASSO), supercell 2x3x2 — q-mesh: 7x15x7, supercell: 2x3x2

../../_images/fig_kappa849.png

(a) Temperature-dependent lattice thermal conductivity

../../_images/fig_kappa_vs_grain_size443.png

(b) Peierls lattice thermal conductivity w.r.t grain size

Phonon lifetime and scattering rates

../../_images/fig_lifetime434.png

(a) Phonon lifetime due to phonon-phonon scattering

../../_images/fig_scat_rates433.png

(b) Phonon scattering rates

Cumulative and spectral thermal conductivity

../../_images/fig_cumu_frequency434.png

(a) Spectral and cumulative thermal conductivity w.r.t frequency

../../_images/fig_cumu_mfp434.png

(b) Spectral and cumulative thermal conductivity w.r.t MFP

Force constants

../../_images/fig_fc2573.png

(a) Force constants w.r.t atomic distance

Summary

../../_images/fig_times959.png

(a) Computation time