mp-10250-2/BaLiF3/anharm

Harmonic properties

../../_images/fig_bandos_pr529.png

(a) Phonon dispersion with participation ratio and DOS

../../_images/fig_thermo529.png

(b) Thermodynamic properties

Grüneisen parameters

../../_images/fig_gru_all358.png

(a) Grüneisen parameters

../../_images/fig_gruneisen358.png

(b) Phonon dispersion with Grüneisen parameters

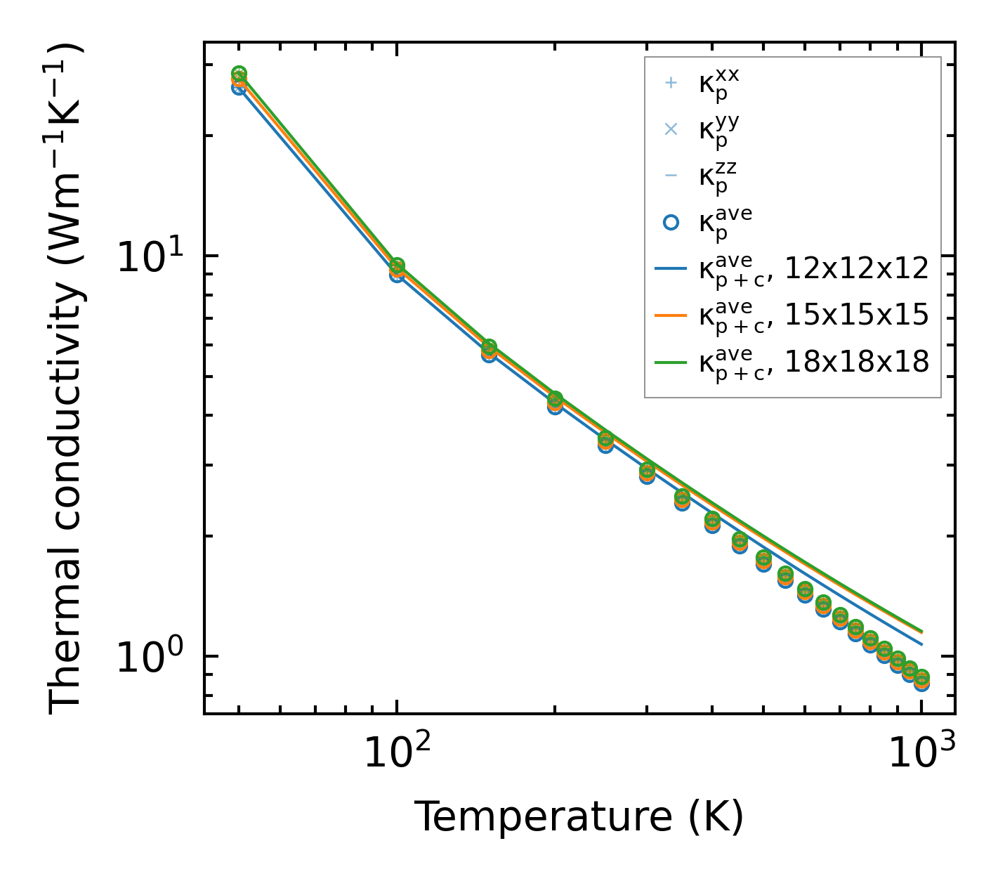
Thermal conductivity

3-phonon — q-mesh: 18x18x18, supercell: 3x3x3

../../_images/fig_kappa694.png

(a) Temperature-dependent lattice thermal conductivity

../../_images/fig_kappa_vs_grain_size362.png

(b) Peierls lattice thermal conductivity w.r.t grain size

Phonon lifetime and scattering rates

../../_images/fig_lifetime356.png

(a) Phonon lifetime due to phonon-phonon scattering

../../_images/fig_scat_rates355.png

(b) Phonon scattering rates

Cumulative and spectral thermal conductivity

../../_images/fig_cumu_frequency356.png

(a) Spectral and cumulative thermal conductivity w.r.t frequency

../../_images/fig_cumu_mfp356.png

(b) Spectral and cumulative thermal conductivity w.r.t MFP

Force constants

../../_images/fig_fc379.png

(a) Force constants w.r.t atomic distance

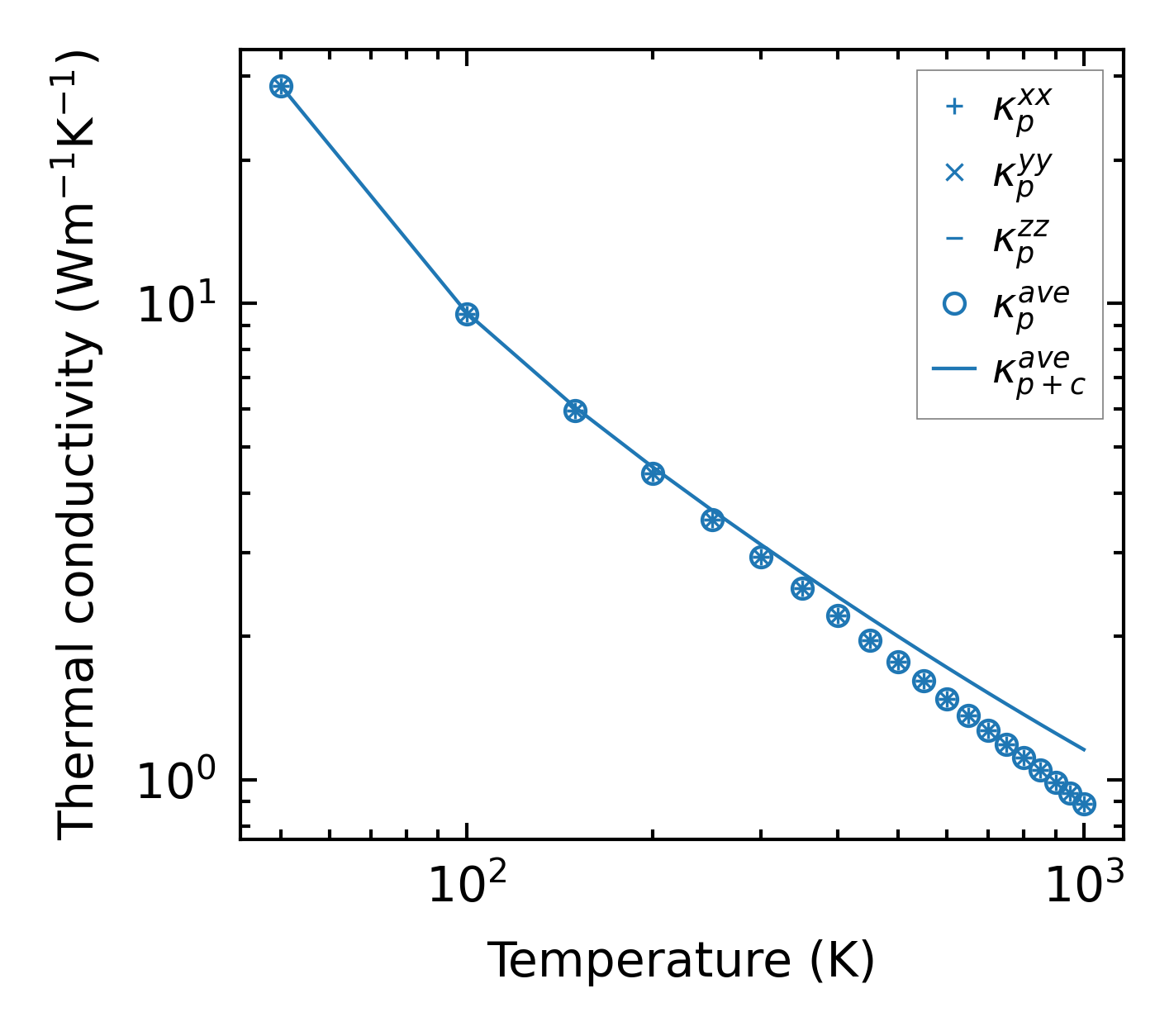
Summary

../../_images/fig_kappa695.png

(a) Temperature-dependent lattice thermal conductivity

../../_images/fig_times787.png

(b) Computation time