mp-10930/TbSF/anharm

Harmonic properties

../../_images/fig_bandos_pr676.png

(a) Phonon dispersion with participation ratio and DOS

../../_images/fig_thermo676.png

(b) Thermodynamic properties

Grüneisen parameters

../../_images/fig_gru_all447.png

(a) Grüneisen parameters

../../_images/fig_gruneisen447.png

(b) Phonon dispersion with Grüneisen parameters

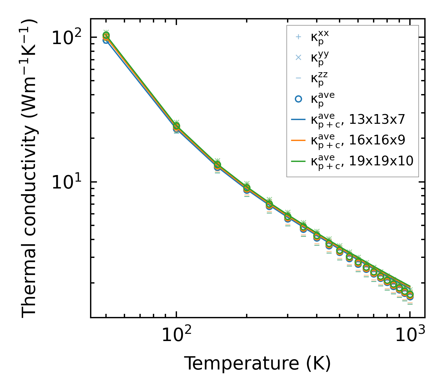
Thermal conductivity

3-phonon (LASSO) — q-mesh: 19x19x10, supercell: 3x3x2

../../_images/fig_kappa869.png

(a) Temperature-dependent lattice thermal conductivity

../../_images/fig_kappa_vs_grain_size454.png

(b) Peierls lattice thermal conductivity w.r.t grain size

Phonon lifetime and scattering rates

../../_images/fig_lifetime445.png

(a) Phonon lifetime due to phonon-phonon scattering

../../_images/fig_scat_rates444.png

(b) Phonon scattering rates

Cumulative and spectral thermal conductivity

../../_images/fig_cumu_frequency445.png

(a) Spectral and cumulative thermal conductivity w.r.t frequency

../../_images/fig_cumu_mfp445.png

(b) Spectral and cumulative thermal conductivity w.r.t MFP

Force constants

../../_images/fig_fc2587.png

(a) Force constants w.r.t atomic distance

Summary

../../_images/fig_kappa870.png

(a) Temperature-dependent lattice thermal conductivity

../../_images/fig_times976.png

(b) Computation time