mp-10615-2/BaLiP/anharm

Harmonic properties

../../_images/fig_bandos_pr617.png

(a) Phonon dispersion with participation ratio and DOS

../../_images/fig_thermo617.png

(b) Thermodynamic properties

Grüneisen parameters

../../_images/fig_gru_all405.png

(a) Grüneisen parameters

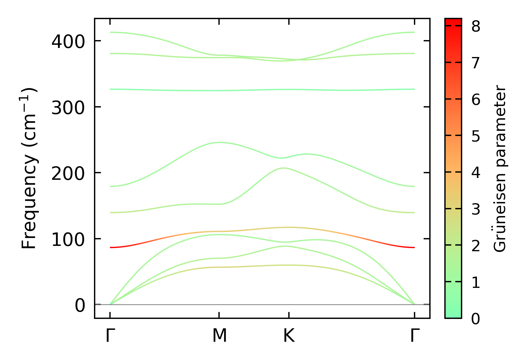
../../_images/fig_gruneisen405.png

(b) Phonon dispersion with Grüneisen parameters

Thermal conductivity

3-phonon (LASSO) — q-mesh: 17x17x16, supercell: 4x4x3

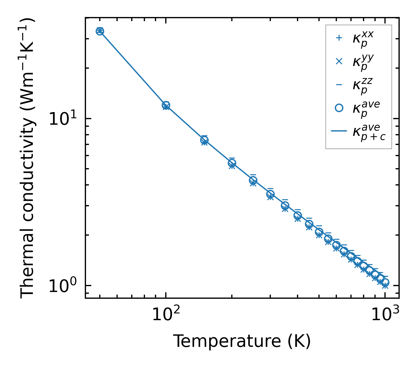
../../_images/fig_kappa788.png

(a) Temperature-dependent lattice thermal conductivity

../../_images/fig_kappa_vs_grain_size411.png

(b) Peierls lattice thermal conductivity w.r.t grain size

Phonon lifetime and scattering rates

../../_images/fig_lifetime403.png

(a) Phonon lifetime due to phonon-phonon scattering

../../_images/fig_scat_rates402.png

(b) Phonon scattering rates

Cumulative and spectral thermal conductivity

../../_images/fig_cumu_frequency403.png

(a) Spectral and cumulative thermal conductivity w.r.t frequency

../../_images/fig_cumu_mfp403.png

(b) Spectral and cumulative thermal conductivity w.r.t MFP

Force constants

../../_images/fig_fc2534.png

(a) Force constants w.r.t atomic distance

Summary

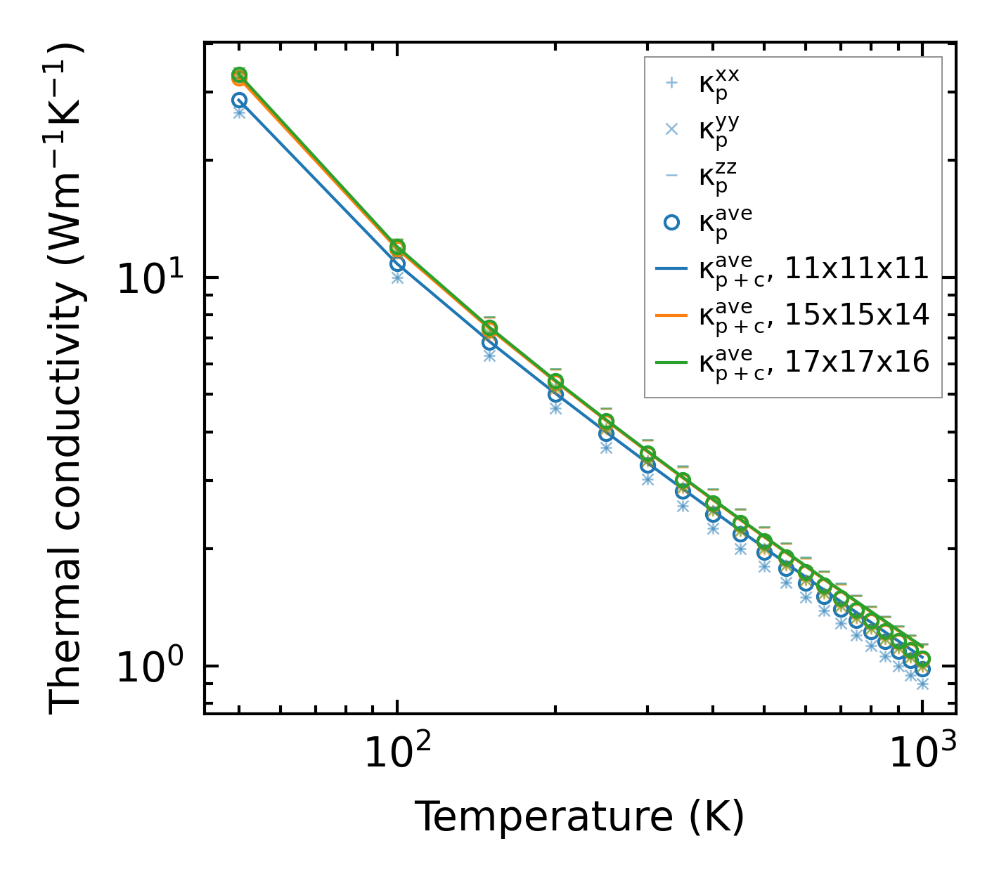
../../_images/fig_kappa789.png

(a) Temperature-dependent lattice thermal conductivity

../../_images/fig_times902.png

(b) Computation time