mp-10289/CaB2C2/anharm

Harmonic properties

../../_images/fig_bandos_pr533.png

(a) Phonon dispersion with participation ratio and DOS

../../_images/fig_thermo533.png

(b) Thermodynamic properties

Grüneisen parameters

../../_images/fig_gru_all362.png

(a) Grüneisen parameters

../../_images/fig_gruneisen362.png

(b) Phonon dispersion with Grüneisen parameters

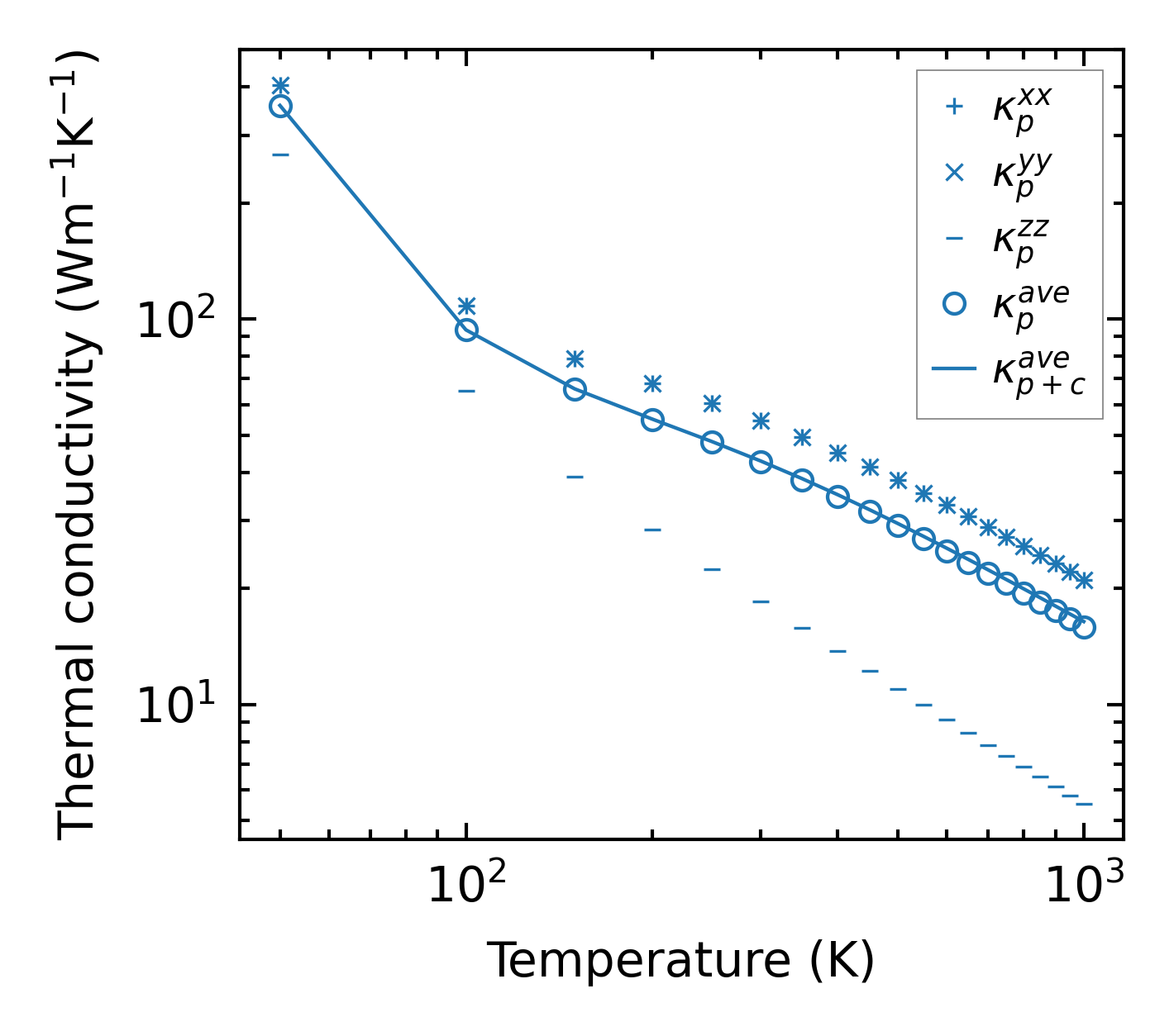
Thermal conductivity

3-phonon (LASSO) — q-mesh: 15x15x15, supercell: 2x2x1

../../_images/fig_kappa702.png

(a) Temperature-dependent lattice thermal conductivity

../../_images/fig_kappa_vs_grain_size366.png

(b) Peierls lattice thermal conductivity w.r.t grain size

Phonon lifetime and scattering rates

../../_images/fig_lifetime360.png

(a) Phonon lifetime due to phonon-phonon scattering

../../_images/fig_scat_rates359.png

(b) Phonon scattering rates

Cumulative and spectral thermal conductivity

../../_images/fig_cumu_frequency360.png

(a) Spectral and cumulative thermal conductivity w.r.t frequency

../../_images/fig_cumu_mfp360.png

(b) Spectral and cumulative thermal conductivity w.r.t MFP

Force constants

../../_images/fig_fc2453.png

(a) Force constants w.r.t atomic distance

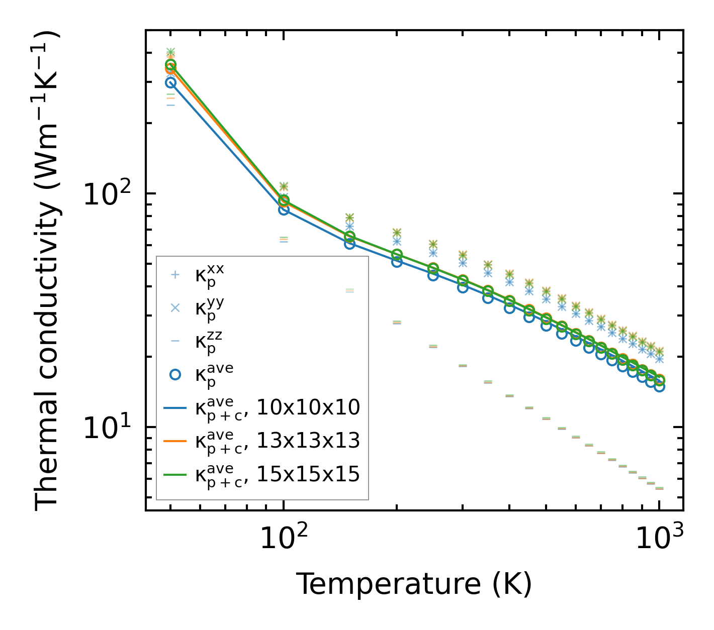
Summary

../../_images/fig_kappa703.png

(a) Temperature-dependent lattice thermal conductivity

../../_images/fig_times792.png

(b) Computation time