mp-10837/Na2MgInF7/anharm

Equation of state

../../_images/fig_bm237.png

(a) Equation of state

Harmonic properties

../../_images/fig_bandos_pr665.png

(a) Phonon dispersion with participation ratio and DOS

../../_images/fig_thermo665.png

(b) Thermodynamic properties

Grüneisen parameters

../../_images/fig_gru_all439.png

(a) Grüneisen parameters

../../_images/fig_gruneisen439.png

(b) Phonon dispersion with Grüneisen parameters

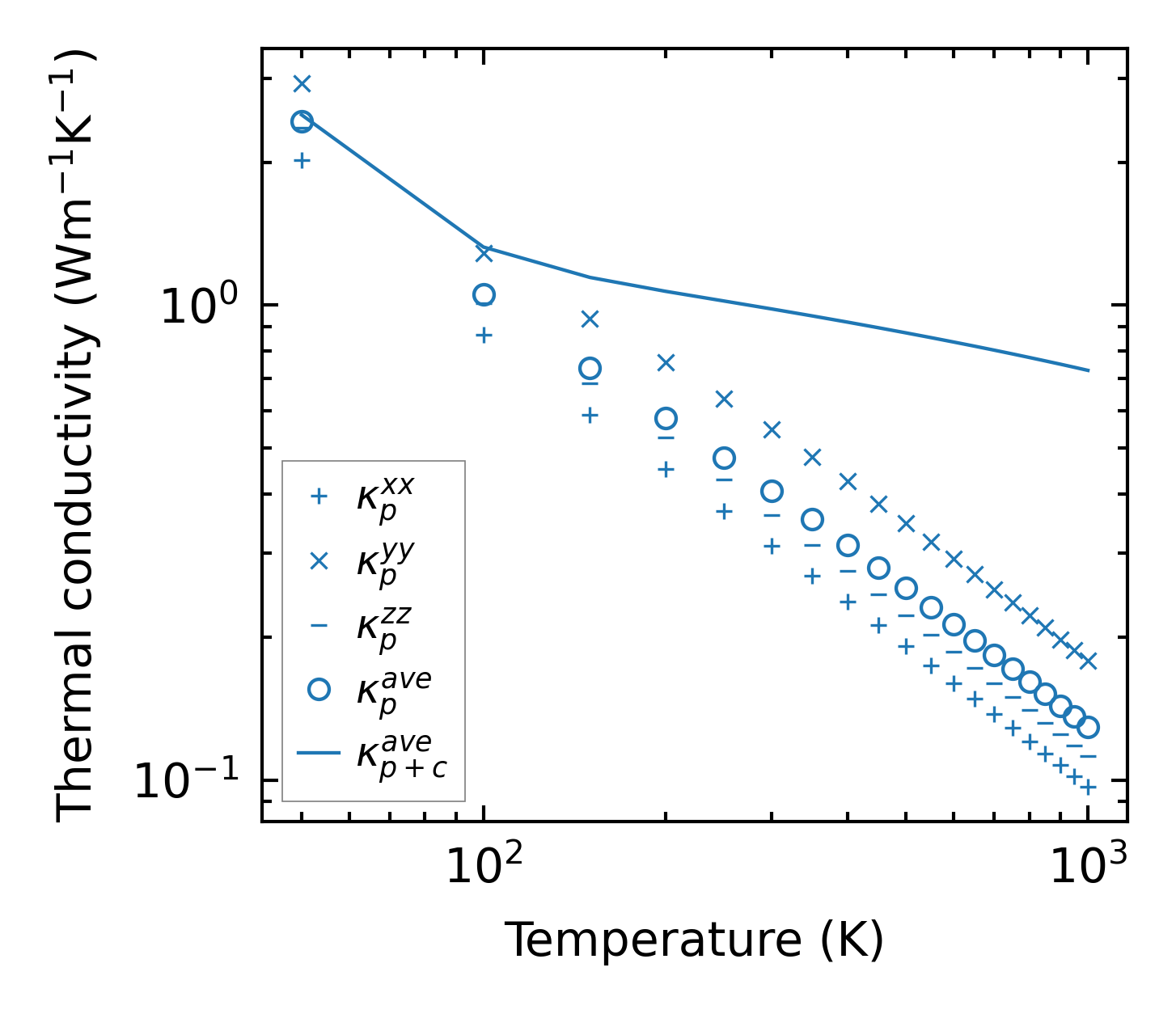
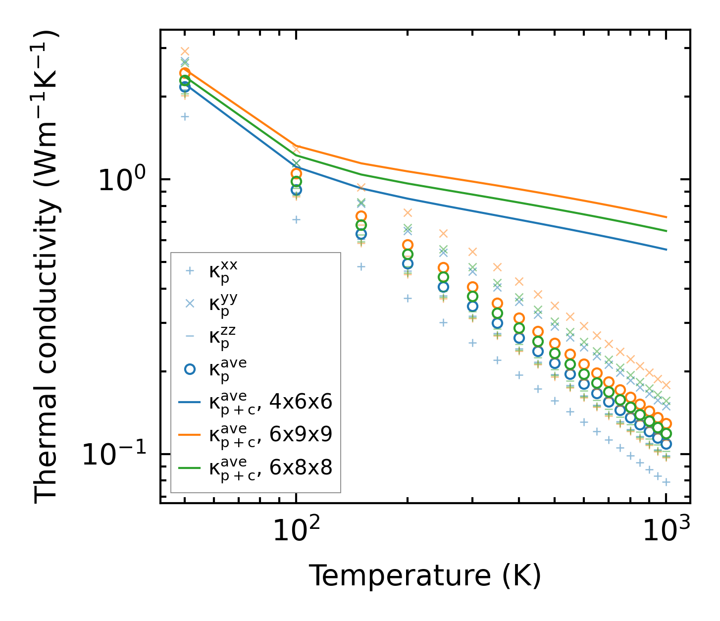
Thermal conductivity

3-phonon (LASSO) — q-mesh: 6x9x9, supercell: 1x2x1

../../_images/fig_kappa854.png

(a) Temperature-dependent lattice thermal conductivity

../../_images/fig_kappa_vs_grain_size446.png

(b) Peierls lattice thermal conductivity w.r.t grain size

Phonon lifetime and scattering rates

../../_images/fig_lifetime437.png

(a) Phonon lifetime due to phonon-phonon scattering

../../_images/fig_scat_rates436.png

(b) Phonon scattering rates

Cumulative and spectral thermal conductivity

../../_images/fig_cumu_frequency437.png

(a) Spectral and cumulative thermal conductivity w.r.t frequency

../../_images/fig_cumu_mfp437.png

(b) Spectral and cumulative thermal conductivity w.r.t MFP

Force constants

../../_images/fig_fc2576.png

(a) Force constants w.r.t atomic distance

Summary

../../_images/fig_kappa855.png

(a) Temperature-dependent lattice thermal conductivity

../../_images/fig_times962.png

(b) Computation time