mp-10413-2/AgBC4N4/anharm

Harmonic properties

../../_images/fig_bandos_pr561.png

(a) Phonon dispersion with participation ratio and DOS

../../_images/fig_thermo561.png

(b) Thermodynamic properties

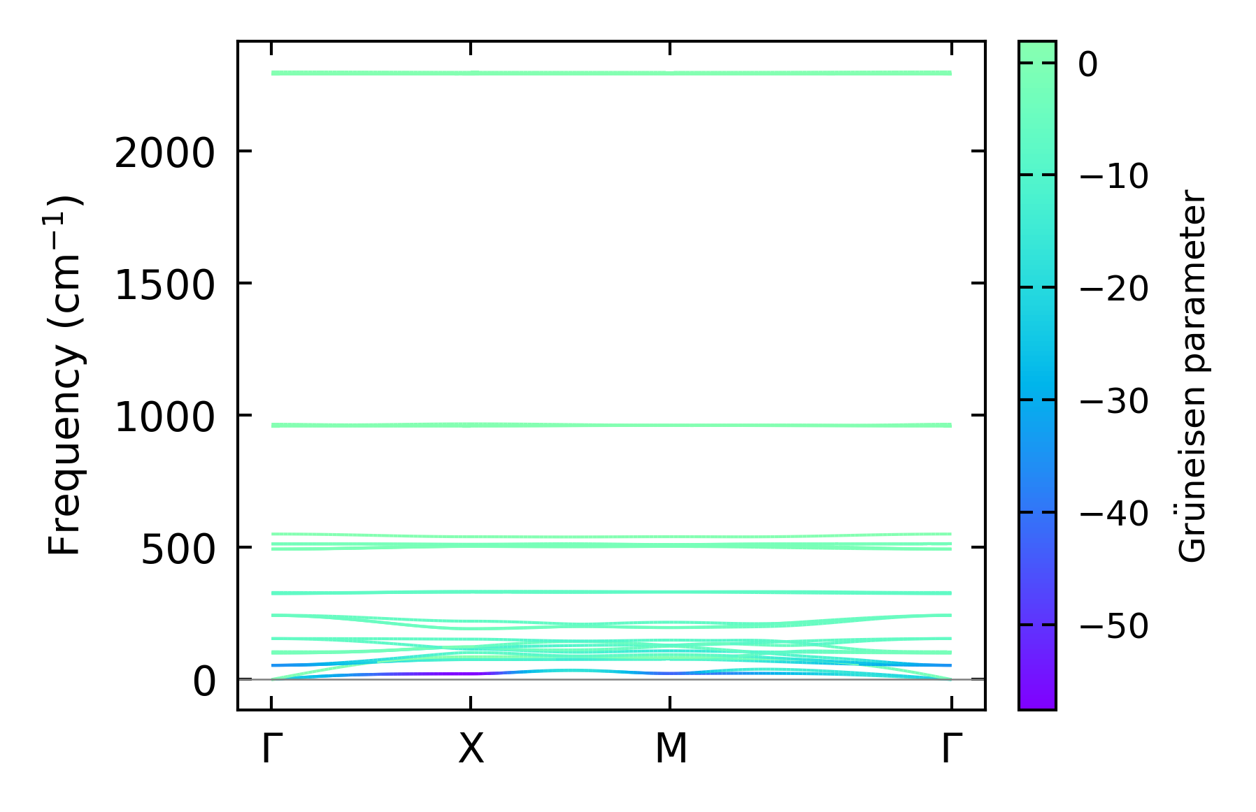
Grüneisen parameters

../../_images/fig_gru_all377.png

(a) Grüneisen parameters

../../_images/fig_gruneisen377.png

(b) Phonon dispersion with Grüneisen parameters

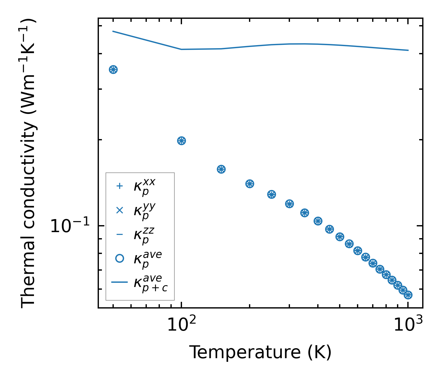
Thermal conductivity

3-phonon (LASSO) — q-mesh: 12x12x12, supercell: 2x2x2

../../_images/fig_kappa731.png

(a) Temperature-dependent lattice thermal conductivity

../../_images/fig_kappa_vs_grain_size381.png

(b) Peierls lattice thermal conductivity w.r.t grain size

Phonon lifetime and scattering rates

../../_images/fig_lifetime375.png

(a) Phonon lifetime due to phonon-phonon scattering

../../_images/fig_scat_rates374.png

(b) Phonon scattering rates

Cumulative and spectral thermal conductivity

../../_images/fig_cumu_frequency375.png

(a) Spectral and cumulative thermal conductivity w.r.t frequency

../../_images/fig_cumu_mfp375.png

(b) Spectral and cumulative thermal conductivity w.r.t MFP

Force constants

../../_images/fig_fc2481.png

(a) Force constants w.r.t atomic distance

Summary

../../_images/fig_kappa732.png

(a) Temperature-dependent lattice thermal conductivity

../../_images/fig_times827.png

(b) Computation time