mp-10234/Sr2BN2F/anharm

Harmonic properties

../../_images/fig_bandos_pr525.png

(a) Phonon dispersion with participation ratio and DOS

../../_images/fig_thermo525.png

(b) Thermodynamic properties

Grüneisen parameters

../../_images/fig_gru_all355.png

(a) Grüneisen parameters

../../_images/fig_gruneisen355.png

(b) Phonon dispersion with Grüneisen parameters

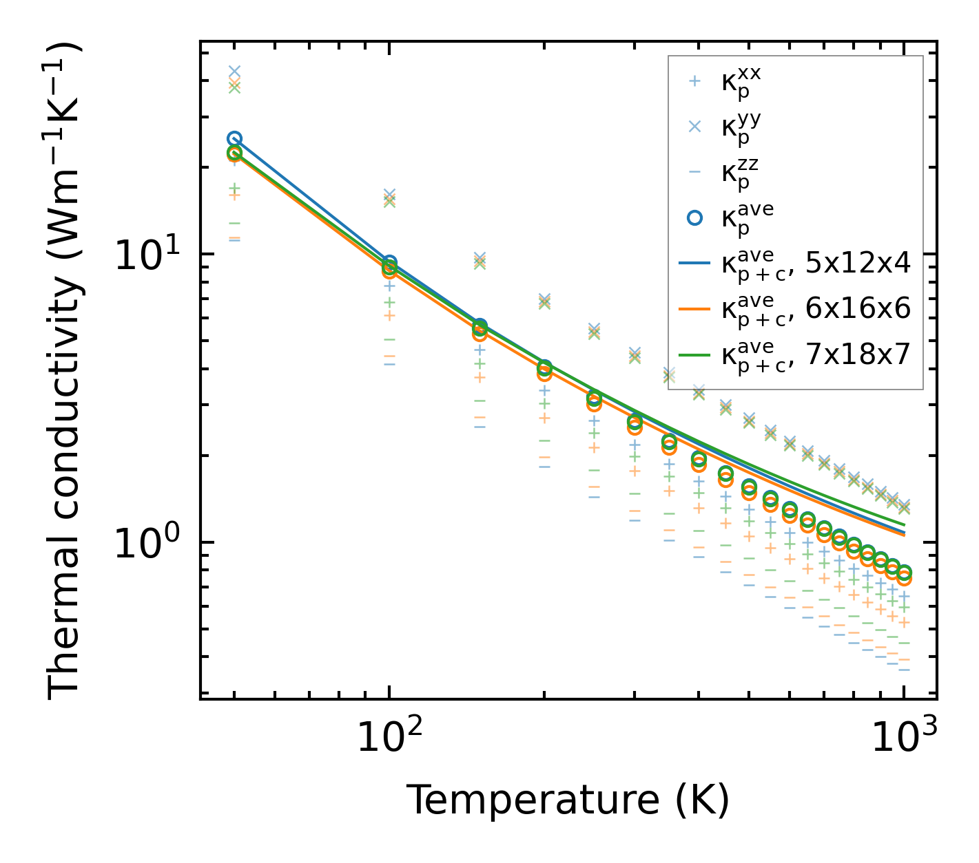
Thermal conductivity

3-phonon (LASSO) — q-mesh: 7x18x7, supercell: 2x3x1

../../_images/fig_kappa688.png

(a) Temperature-dependent lattice thermal conductivity

../../_images/fig_kappa_vs_grain_size358.png

(b) Peierls lattice thermal conductivity w.r.t grain size

Phonon lifetime and scattering rates

../../_images/fig_lifetime353.png

(a) Phonon lifetime due to phonon-phonon scattering

../../_images/fig_scat_rates352.png

(b) Phonon scattering rates

Cumulative and spectral thermal conductivity

../../_images/fig_cumu_frequency353.png

(a) Spectral and cumulative thermal conductivity w.r.t frequency

../../_images/fig_cumu_mfp353.png

(b) Spectral and cumulative thermal conductivity w.r.t MFP

Force constants

../../_images/fig_fc2447.png

(a) Force constants w.r.t atomic distance

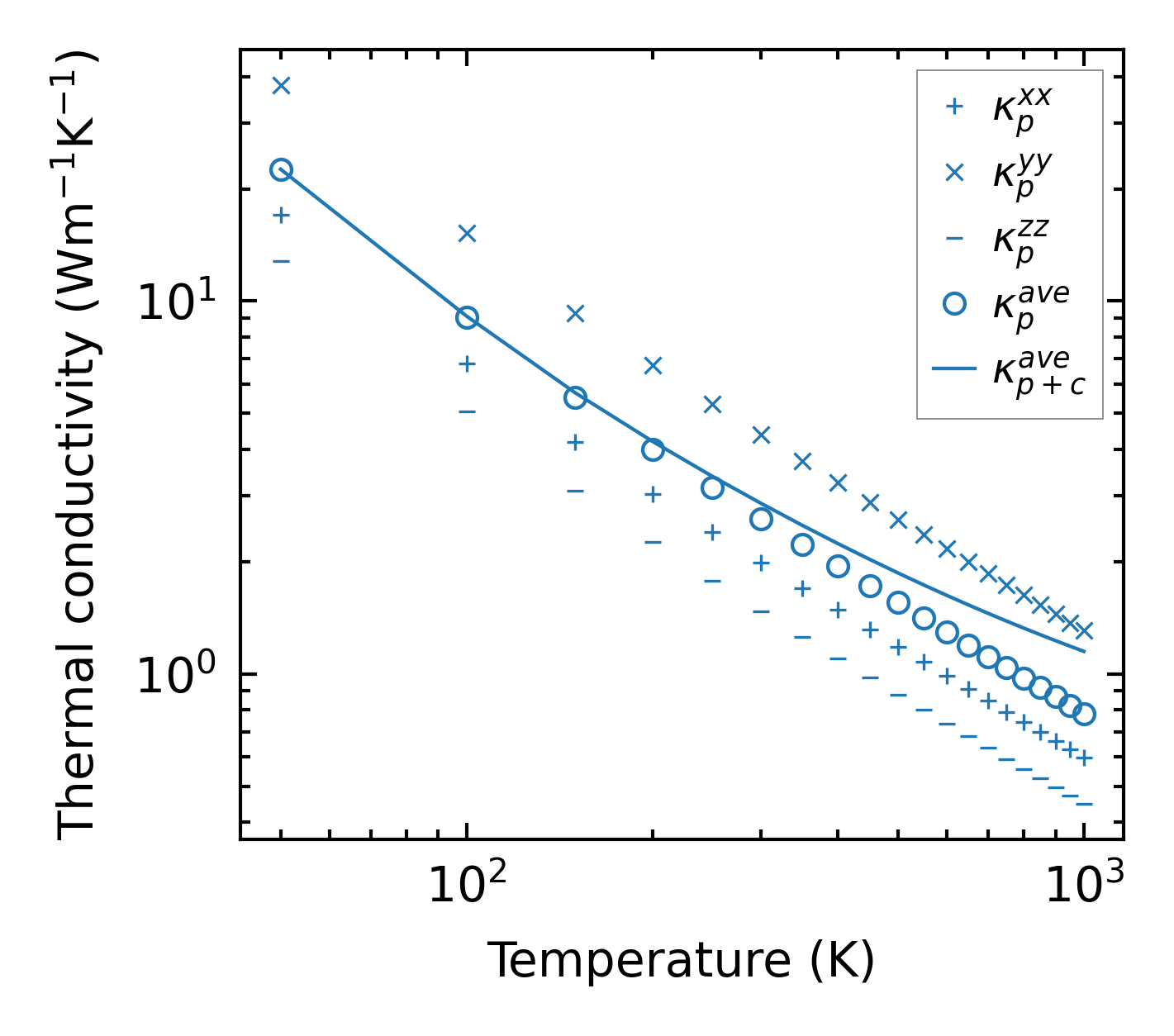
Summary

../../_images/fig_kappa689.png

(a) Temperature-dependent lattice thermal conductivity

../../_images/fig_times783.png

(b) Computation time