mp-10694/ScF3/anharm

Equation of state

../../_images/fig_bm221.png

(a) Equation of state

Harmonic properties

../../_images/fig_bandos_pr630.png

(a) Phonon dispersion with participation ratio and DOS

../../_images/fig_thermo630.png

(b) Thermodynamic properties

Grüneisen parameters

../../_images/fig_gru_all413.png

(a) Grüneisen parameters

../../_images/fig_gruneisen413.png

(b) Phonon dispersion with Grüneisen parameters

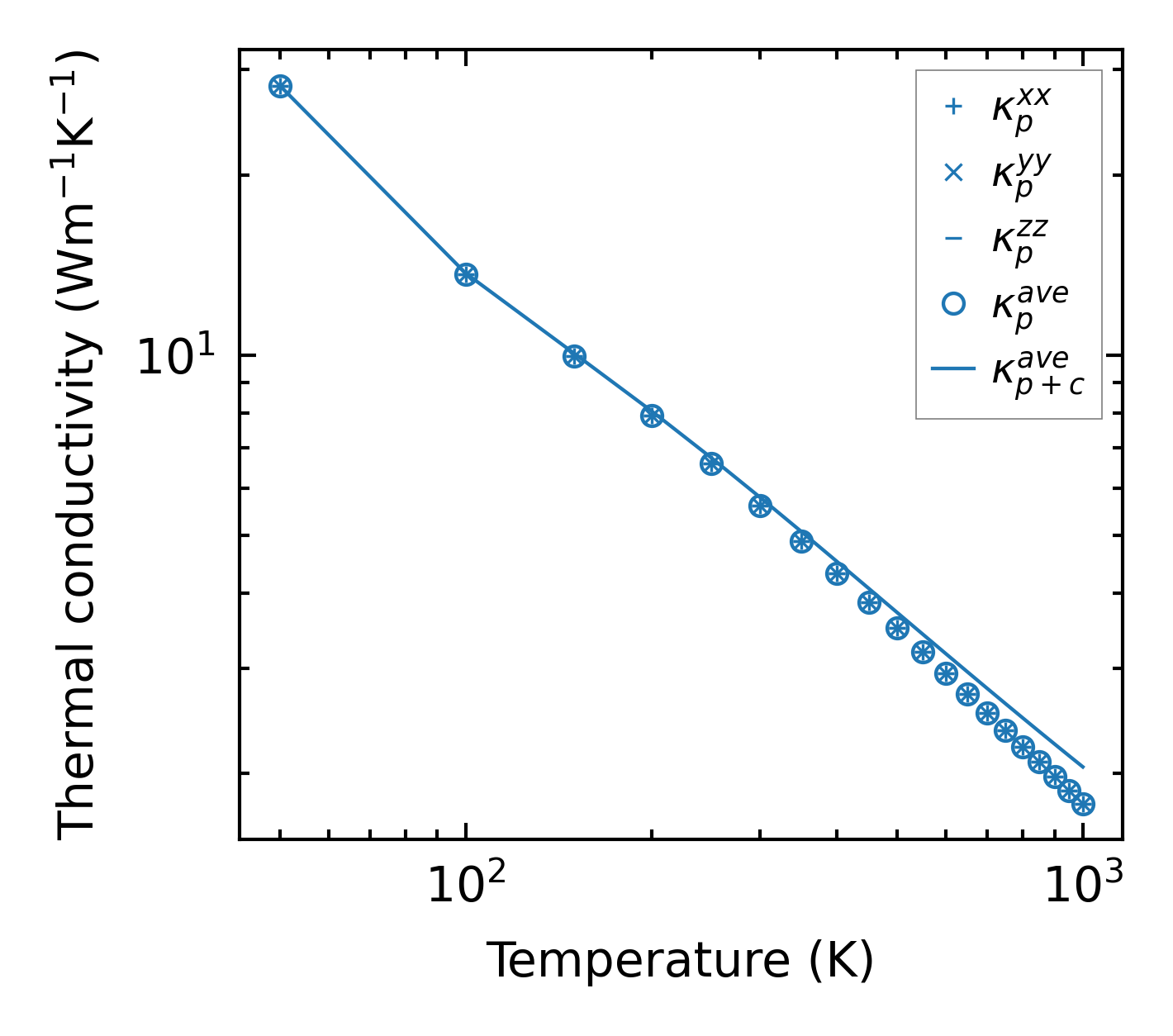
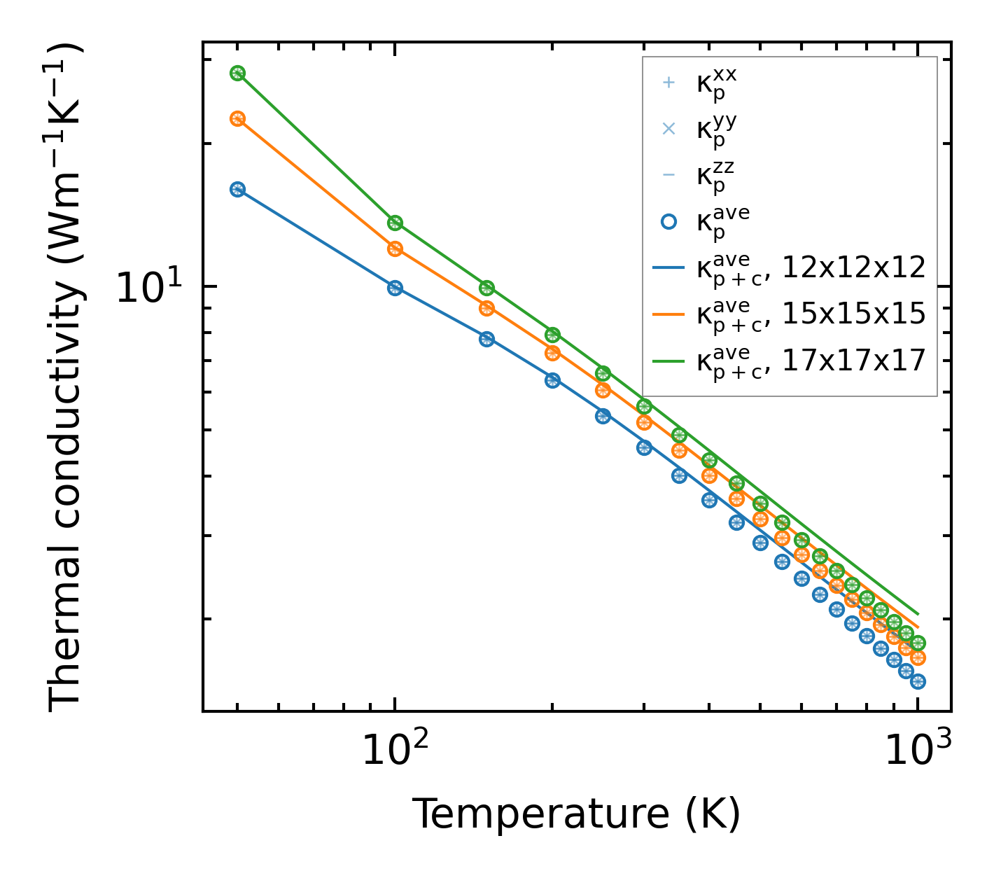
Thermal conductivity

3-phonon — q-mesh: 17x17x17, supercell: 3x3x3

../../_images/fig_kappa803.png

(a) Temperature-dependent lattice thermal conductivity

../../_images/fig_kappa_vs_grain_size419.png

(b) Peierls lattice thermal conductivity w.r.t grain size

Phonon lifetime and scattering rates

../../_images/fig_lifetime411.png

(a) Phonon lifetime due to phonon-phonon scattering

../../_images/fig_scat_rates410.png

(b) Phonon scattering rates

Cumulative and spectral thermal conductivity

../../_images/fig_cumu_frequency411.png

(a) Spectral and cumulative thermal conductivity w.r.t frequency

../../_images/fig_cumu_mfp411.png

(b) Spectral and cumulative thermal conductivity w.r.t MFP

Force constants

../../_images/fig_fc384.png

(a) Force constants w.r.t atomic distance

Summary

../../_images/fig_kappa804.png

(a) Temperature-dependent lattice thermal conductivity

../../_images/fig_times922.png

(b) Computation time