mp-10837-2/Na2MgInF7/anharm

Harmonic properties

../../_images/fig_bandos_pr666.png

(a) Phonon dispersion with participation ratio and DOS

../../_images/fig_thermo666.png

(b) Thermodynamic properties

Grüneisen parameters

../../_images/fig_gru_all440.png

(a) Grüneisen parameters

../../_images/fig_gruneisen440.png

(b) Phonon dispersion with Grüneisen parameters

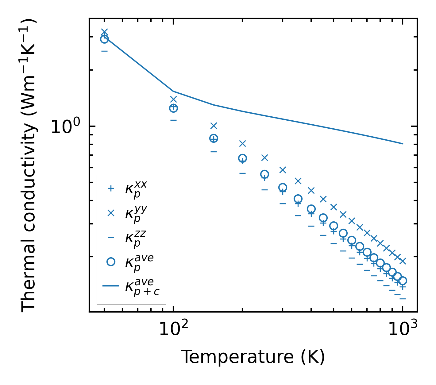
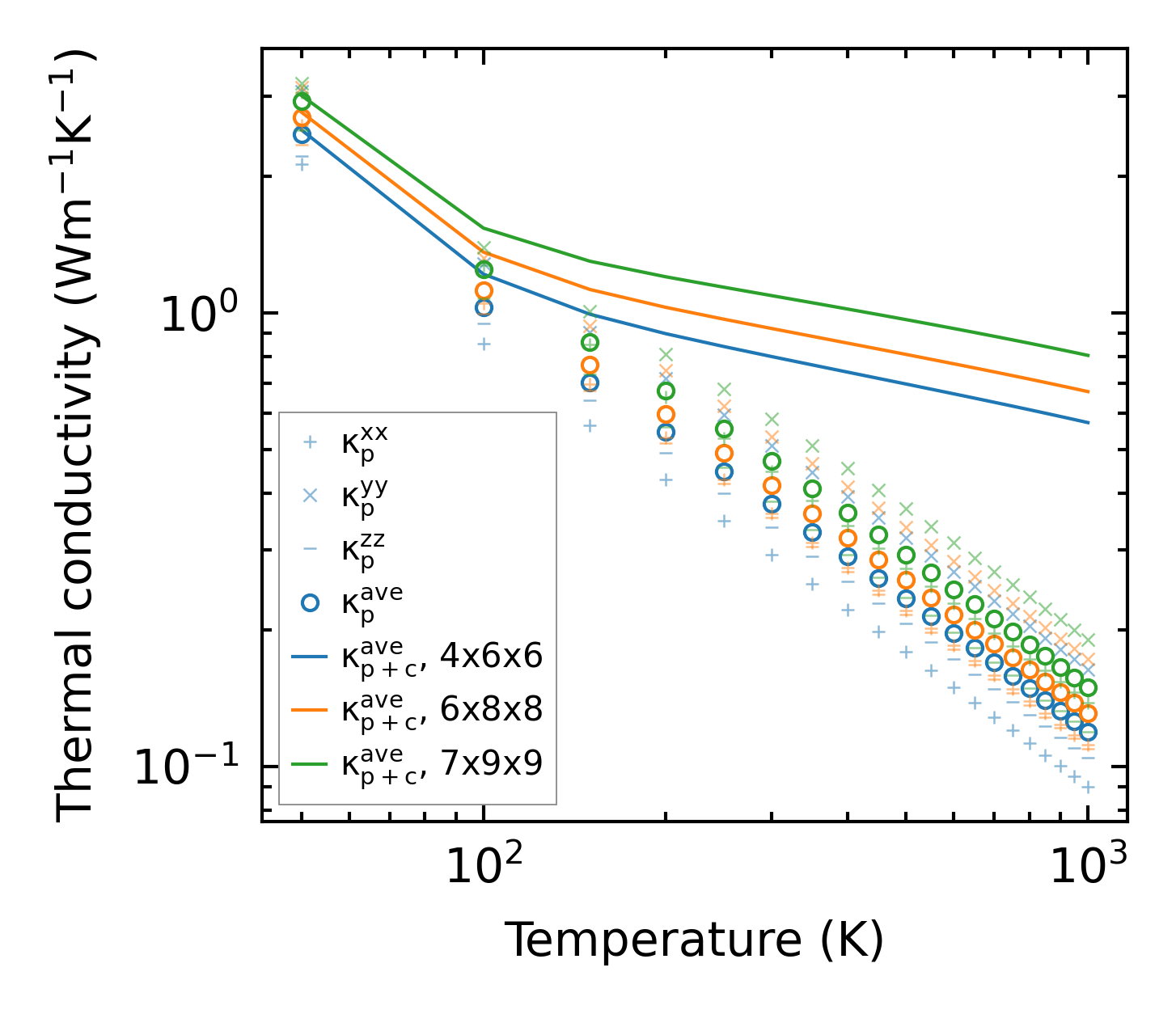
Thermal conductivity

3-phonon (LASSO) — q-mesh: 7x9x9, supercell: 1x2x1

../../_images/fig_kappa856.png

(a) Temperature-dependent lattice thermal conductivity

../../_images/fig_kappa_vs_grain_size447.png

(b) Peierls lattice thermal conductivity w.r.t grain size

Phonon lifetime and scattering rates

../../_images/fig_lifetime438.png

(a) Phonon lifetime due to phonon-phonon scattering

../../_images/fig_scat_rates437.png

(b) Phonon scattering rates

Cumulative and spectral thermal conductivity

../../_images/fig_cumu_frequency438.png

(a) Spectral and cumulative thermal conductivity w.r.t frequency

../../_images/fig_cumu_mfp438.png

(b) Spectral and cumulative thermal conductivity w.r.t MFP

Force constants

../../_images/fig_fc2577.png

(a) Force constants w.r.t atomic distance

Summary

../../_images/fig_kappa857.png

(a) Temperature-dependent lattice thermal conductivity

../../_images/fig_times963.png

(b) Computation time