mp-10182/LiZnP/anharm

Harmonic properties

../../_images/fig_bandos_pr519.png

(a) Phonon dispersion with participation ratio and DOS

../../_images/fig_thermo519.png

(b) Thermodynamic properties

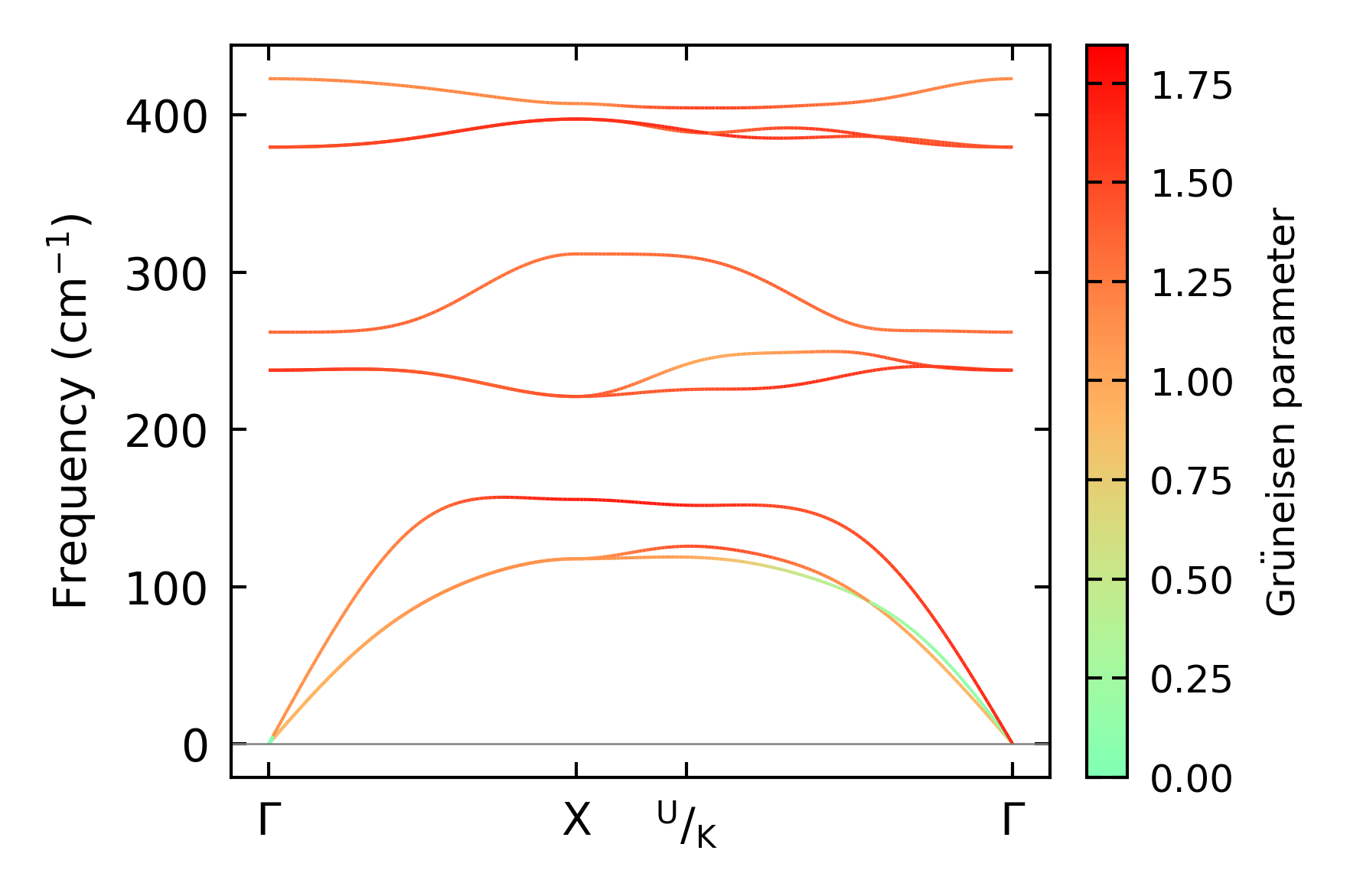
Grüneisen parameters

../../_images/fig_gru_all349.png

(a) Grüneisen parameters

../../_images/fig_gruneisen349.png

(b) Phonon dispersion with Grüneisen parameters

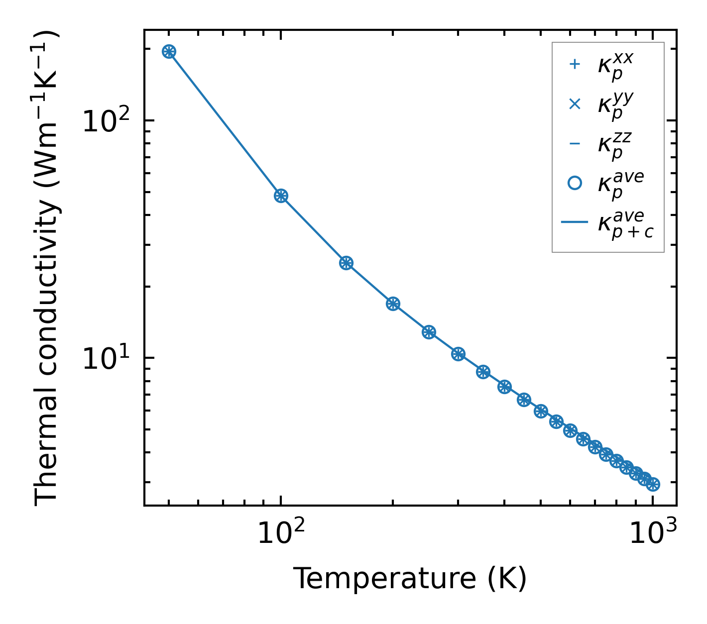
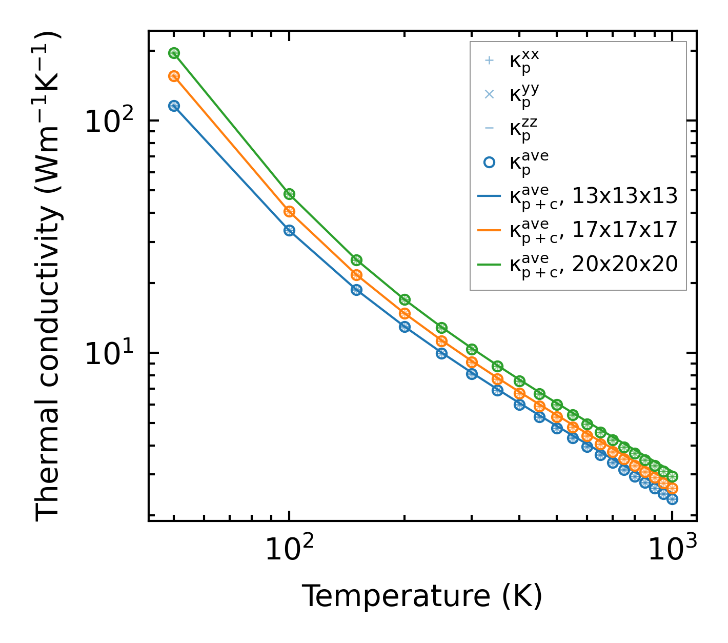
Thermal conductivity

3-phonon — q-mesh: 20x20x20, supercell: 2x2x2

../../_images/fig_kappa676.png

(a) Temperature-dependent lattice thermal conductivity

../../_images/fig_kappa_vs_grain_size352.png

(b) Peierls lattice thermal conductivity w.r.t grain size

Phonon lifetime and scattering rates

../../_images/fig_lifetime347.png

(a) Phonon lifetime due to phonon-phonon scattering

../../_images/fig_scat_rates346.png

(b) Phonon scattering rates

Cumulative and spectral thermal conductivity

../../_images/fig_cumu_frequency347.png

(a) Spectral and cumulative thermal conductivity w.r.t frequency

../../_images/fig_cumu_mfp347.png

(b) Spectral and cumulative thermal conductivity w.r.t MFP

Force constants

../../_images/fig_fc376.png

(a) Force constants w.r.t atomic distance

Summary

../../_images/fig_kappa677.png

(a) Temperature-dependent lattice thermal conductivity

../../_images/fig_times777.png

(b) Computation time