mp-10421-2/RbAuC2/anharm

Equation of state

../../_images/fig_bm187.png

(a) Equation of state

Harmonic properties

../../_images/fig_bandos_pr568.png

(a) Phonon dispersion with participation ratio and DOS

../../_images/fig_bandos492.png

(b) Phonon dispersion and DOS

../../_images/fig_thermo568.png

(c) Thermodynamic properties

Grüneisen parameters

../../_images/fig_gru_all378.png

(a) Grüneisen parameters

../../_images/fig_gruneisen378.png

(b) Phonon dispersion with Grüneisen parameters

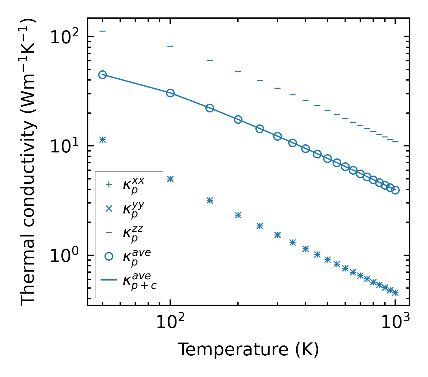
Thermal conductivity

3-phonon — q-mesh: 16x16x13, supercell: 3x3x3

../../_images/fig_kappa733.png

(a) Temperature-dependent lattice thermal conductivity

../../_images/fig_kappa_vs_grain_size382.png

(b) Peierls lattice thermal conductivity w.r.t grain size

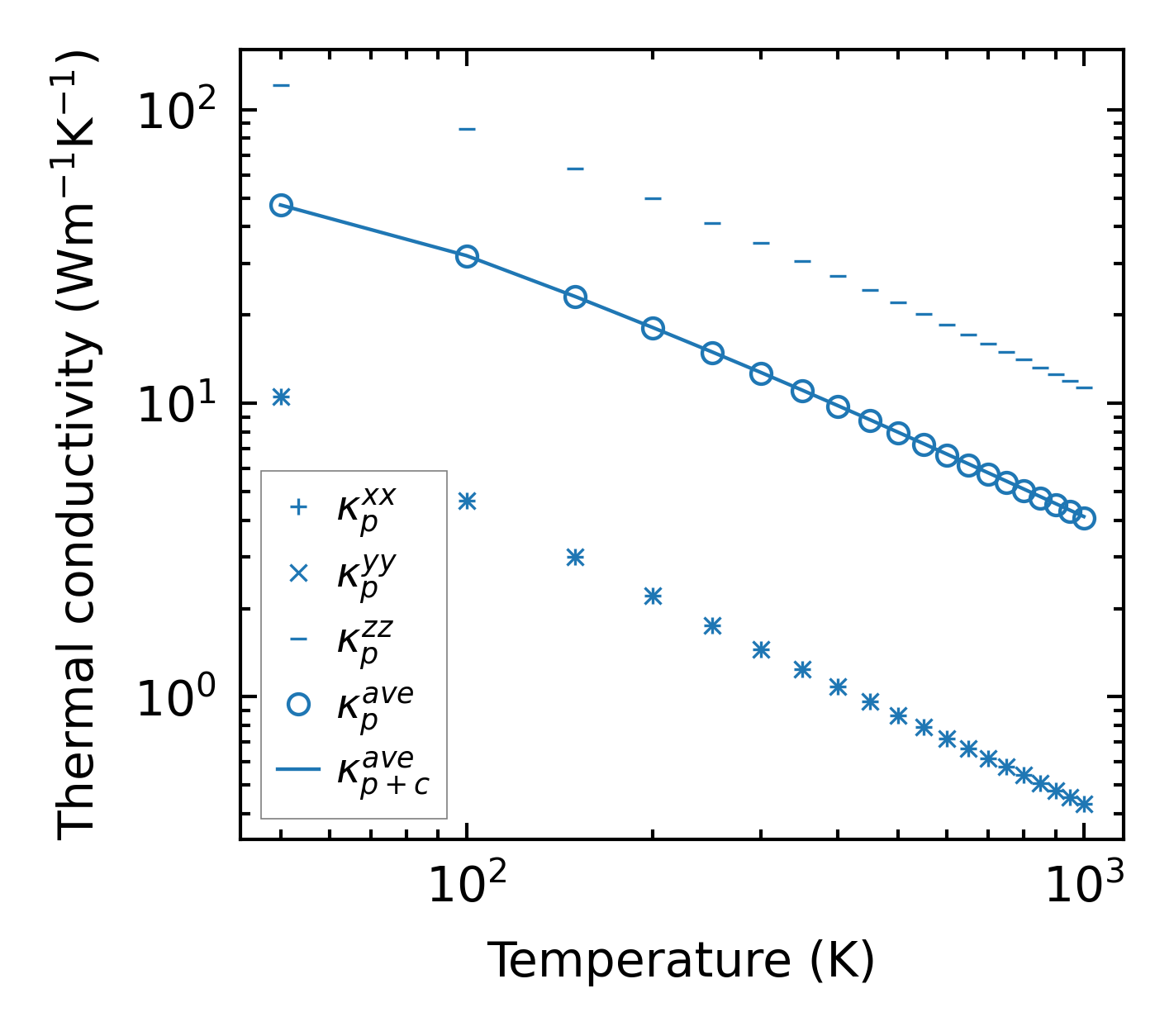
3-phonon, supercell 4x4x3 — q-mesh: 16x16x13, supercell: 4x4x3

../../_images/fig_kappa734.png

(a) Temperature-dependent lattice thermal conductivity

../../_images/fig_kappa_vs_grain_size383.png

(b) Peierls lattice thermal conductivity w.r.t grain size

Phonon lifetime and scattering rates

../../_images/fig_lifetime376.png

(a) Phonon lifetime due to phonon-phonon scattering

../../_images/fig_scat_rates375.png

(b) Phonon scattering rates

Cumulative and spectral thermal conductivity

../../_images/fig_cumu_frequency376.png

(a) Spectral and cumulative thermal conductivity w.r.t frequency

../../_images/fig_cumu_mfp376.png

(b) Spectral and cumulative thermal conductivity w.r.t MFP

Force constants

../../_images/fig_fc380.png

(a) Force constants w.r.t atomic distance

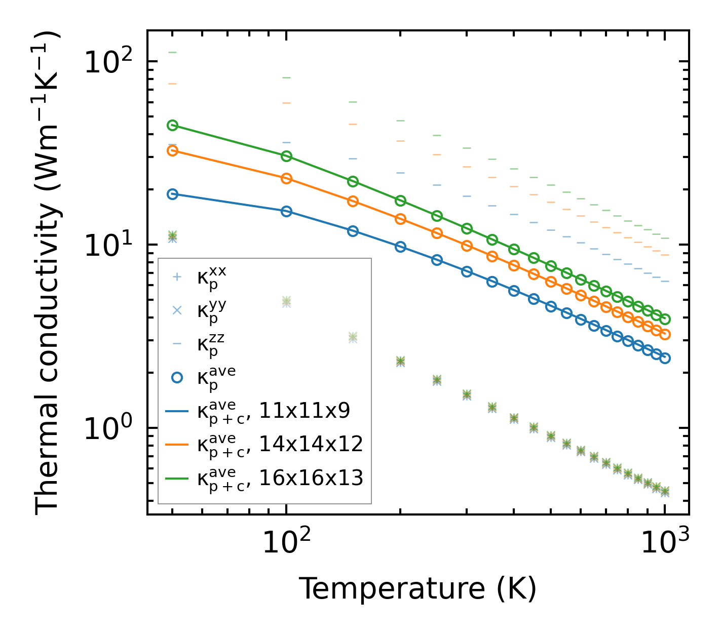
Summary

../../_images/fig_kappa735.png

(a) Temperature-dependent lattice thermal conductivity

../../_images/fig_times835.png

(b) Computation time