mp-10288/LaCuTeS/anharm

Equation of state

../../_images/fig_bm171.png

(a) Equation of state

Harmonic properties

../../_images/fig_bandos_pr531.png

(a) Phonon dispersion with participation ratio and DOS

../../_images/fig_thermo531.png

(b) Thermodynamic properties

Grüneisen parameters

../../_images/fig_gru_all360.png

(a) Grüneisen parameters

../../_images/fig_gruneisen360.png

(b) Phonon dispersion with Grüneisen parameters

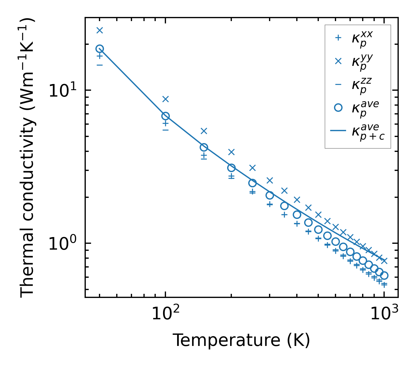
Thermal conductivity

3-phonon (LASSO) — q-mesh: 11x9x9, supercell: 2x2x2

../../_images/fig_kappa698.png

(a) Temperature-dependent lattice thermal conductivity

../../_images/fig_kappa_vs_grain_size364.png

(b) Peierls lattice thermal conductivity w.r.t grain size

Phonon lifetime and scattering rates

../../_images/fig_lifetime358.png

(a) Phonon lifetime due to phonon-phonon scattering

../../_images/fig_scat_rates357.png

(b) Phonon scattering rates

Cumulative and spectral thermal conductivity

../../_images/fig_cumu_frequency358.png

(a) Spectral and cumulative thermal conductivity w.r.t frequency

../../_images/fig_cumu_mfp358.png

(b) Spectral and cumulative thermal conductivity w.r.t MFP

Force constants

../../_images/fig_fc2451.png

(a) Force constants w.r.t atomic distance

Summary

../../_images/fig_kappa699.png

(a) Temperature-dependent lattice thermal conductivity

../../_images/fig_times790.png

(b) Computation time