mp-10422/NaAuC2/anharm

Harmonic properties

../../_images/fig_bandos_pr569.png

(a) Phonon dispersion with participation ratio and DOS

../../_images/fig_thermo569.png

(b) Thermodynamic properties

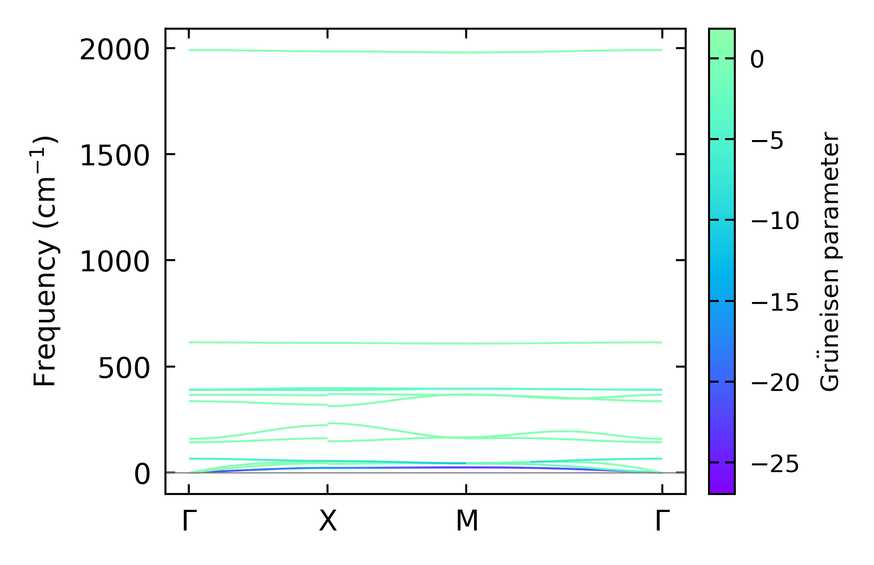
Grüneisen parameters

../../_images/fig_gru_all379.png

(a) Grüneisen parameters

../../_images/fig_gruneisen379.png

(b) Phonon dispersion with Grüneisen parameters

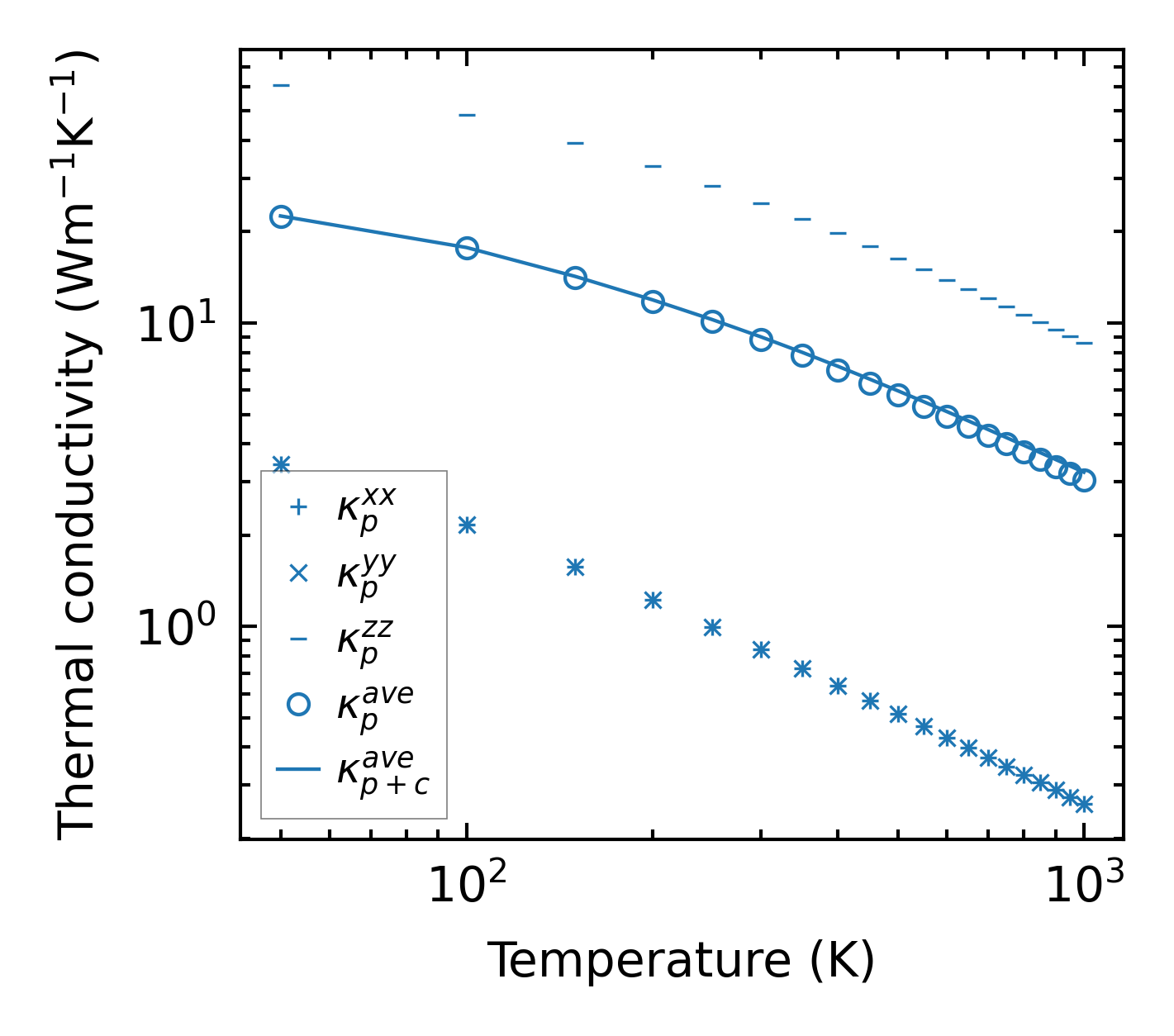
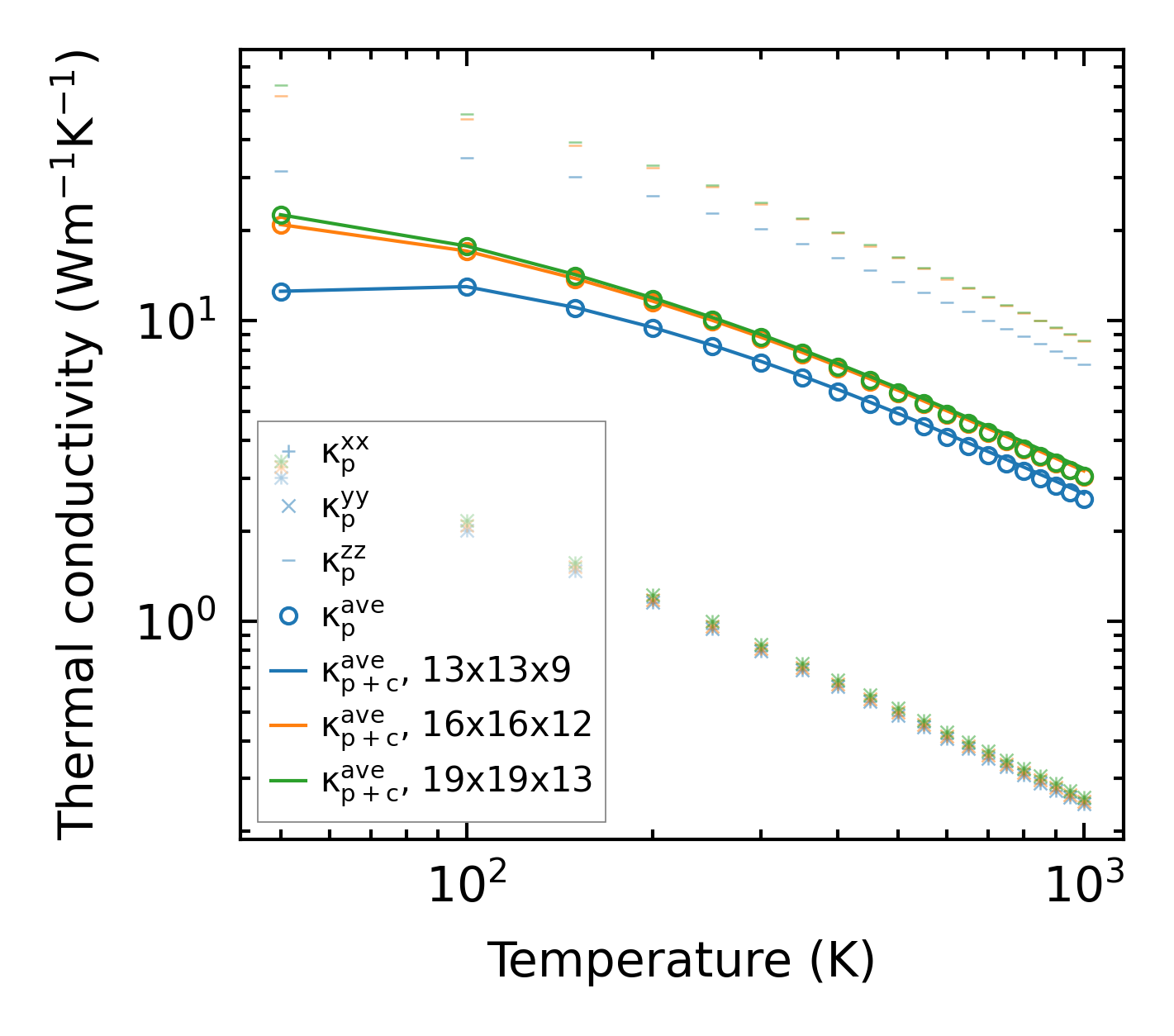
Thermal conductivity

3-phonon (LASSO) — q-mesh: 19x19x13, supercell: 3x3x3

../../_images/fig_kappa736.png

(a) Temperature-dependent lattice thermal conductivity

../../_images/fig_kappa_vs_grain_size384.png

(b) Peierls lattice thermal conductivity w.r.t grain size

Phonon lifetime and scattering rates

../../_images/fig_lifetime377.png

(a) Phonon lifetime due to phonon-phonon scattering

../../_images/fig_scat_rates376.png

(b) Phonon scattering rates

Cumulative and spectral thermal conductivity

../../_images/fig_cumu_frequency377.png

(a) Spectral and cumulative thermal conductivity w.r.t frequency

../../_images/fig_cumu_mfp377.png

(b) Spectral and cumulative thermal conductivity w.r.t MFP

Force constants

../../_images/fig_fc2488.png

(a) Force constants w.r.t atomic distance

Summary

../../_images/fig_kappa737.png

(a) Temperature-dependent lattice thermal conductivity

../../_images/fig_times836.png

(b) Computation time