mp-10423-2/KAuC2/anharm

Equation of state

../../_images/fig_bm188.png

(a) Equation of state

Harmonic properties

../../_images/fig_bandos_pr570.png

(a) Phonon dispersion with participation ratio and DOS

../../_images/fig_bandos494.png

(b) Phonon dispersion and DOS

../../_images/fig_thermo570.png

(c) Thermodynamic properties

Grüneisen parameters

../../_images/fig_gru_all380.png

(a) Grüneisen parameters

../../_images/fig_gruneisen380.png

(b) Phonon dispersion with Grüneisen parameters

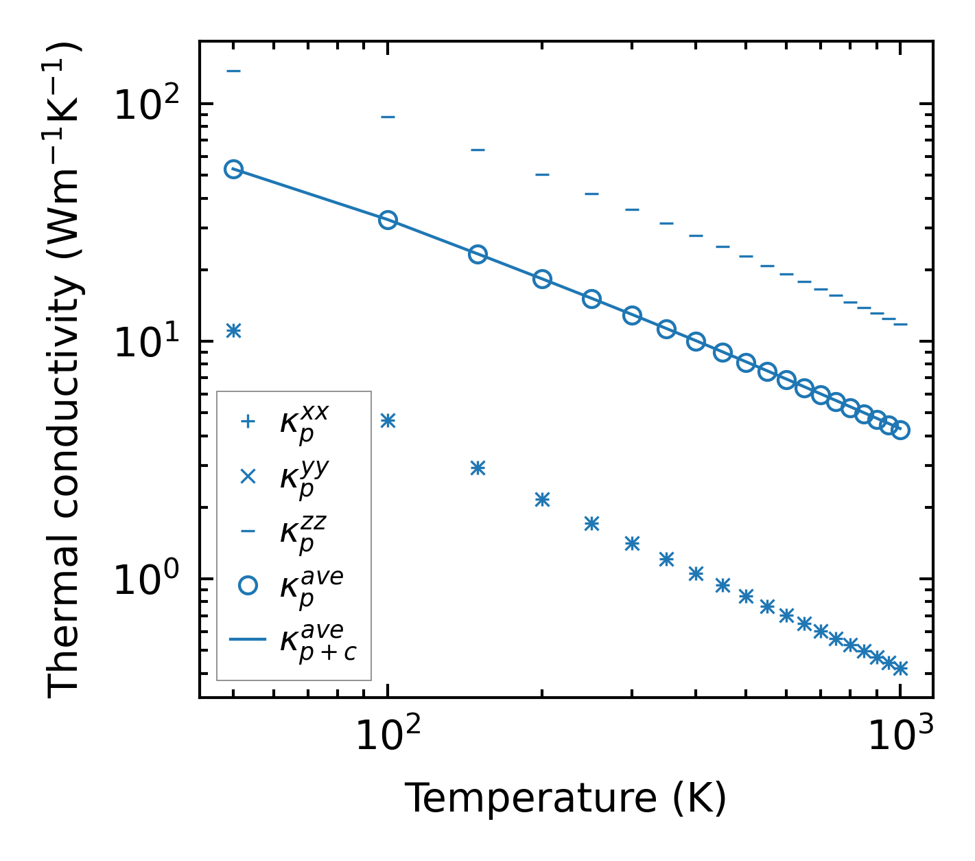
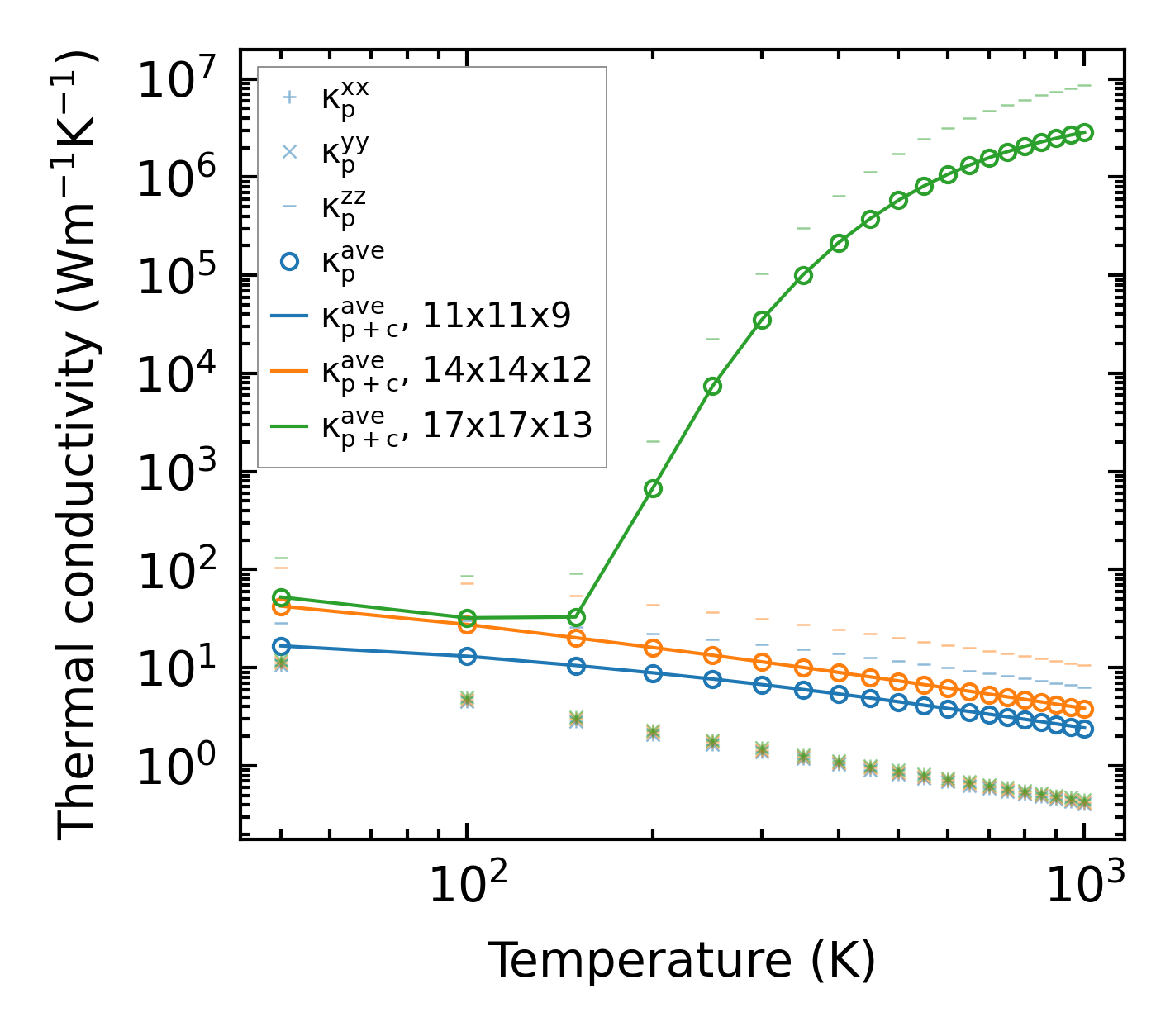
Thermal conductivity

3-phonon — q-mesh: 17x17x13, supercell: 3x3x3

../../_images/fig_kappa738.png

(a) Temperature-dependent lattice thermal conductivity

../../_images/fig_kappa_vs_grain_size385.png

(b) Peierls lattice thermal conductivity w.r.t grain size

3-phonon, supercell 4x4x3 — q-mesh: 17x17x13, supercell: 4x4x3

../../_images/fig_kappa739.png

(a) Temperature-dependent lattice thermal conductivity

../../_images/fig_kappa_vs_grain_size386.png

(b) Peierls lattice thermal conductivity w.r.t grain size

Phonon lifetime and scattering rates

../../_images/fig_lifetime378.png

(a) Phonon lifetime due to phonon-phonon scattering

../../_images/fig_scat_rates377.png

(b) Phonon scattering rates

Cumulative and spectral thermal conductivity

../../_images/fig_cumu_frequency378.png

(a) Spectral and cumulative thermal conductivity w.r.t frequency

../../_images/fig_cumu_mfp378.png

(b) Spectral and cumulative thermal conductivity w.r.t MFP

Force constants

../../_images/fig_fc381.png

(a) Force constants w.r.t atomic distance

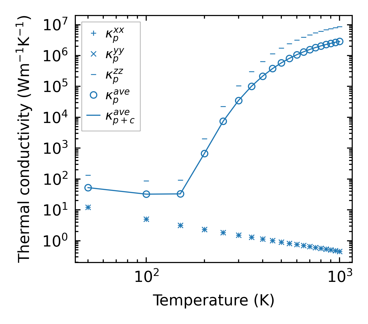
Summary

../../_images/fig_kappa740.png

(a) Temperature-dependent lattice thermal conductivity

../../_images/fig_times838.png

(b) Computation time