mp-10340/Na2GeTeO6/anharm

Equation of state

../../_images/fig_bm174.png

(a) Equation of state

Harmonic properties

../../_images/fig_bandos_pr540.png

(a) Phonon dispersion with participation ratio and DOS

../../_images/fig_bandos467.png

(b) Phonon dispersion and DOS

../../_images/fig_thermo540.png

(c) Thermodynamic properties

Grüneisen parameters

../../_images/fig_gru_all368.png

(a) Grüneisen parameters

../../_images/fig_gruneisen368.png

(b) Phonon dispersion with Grüneisen parameters

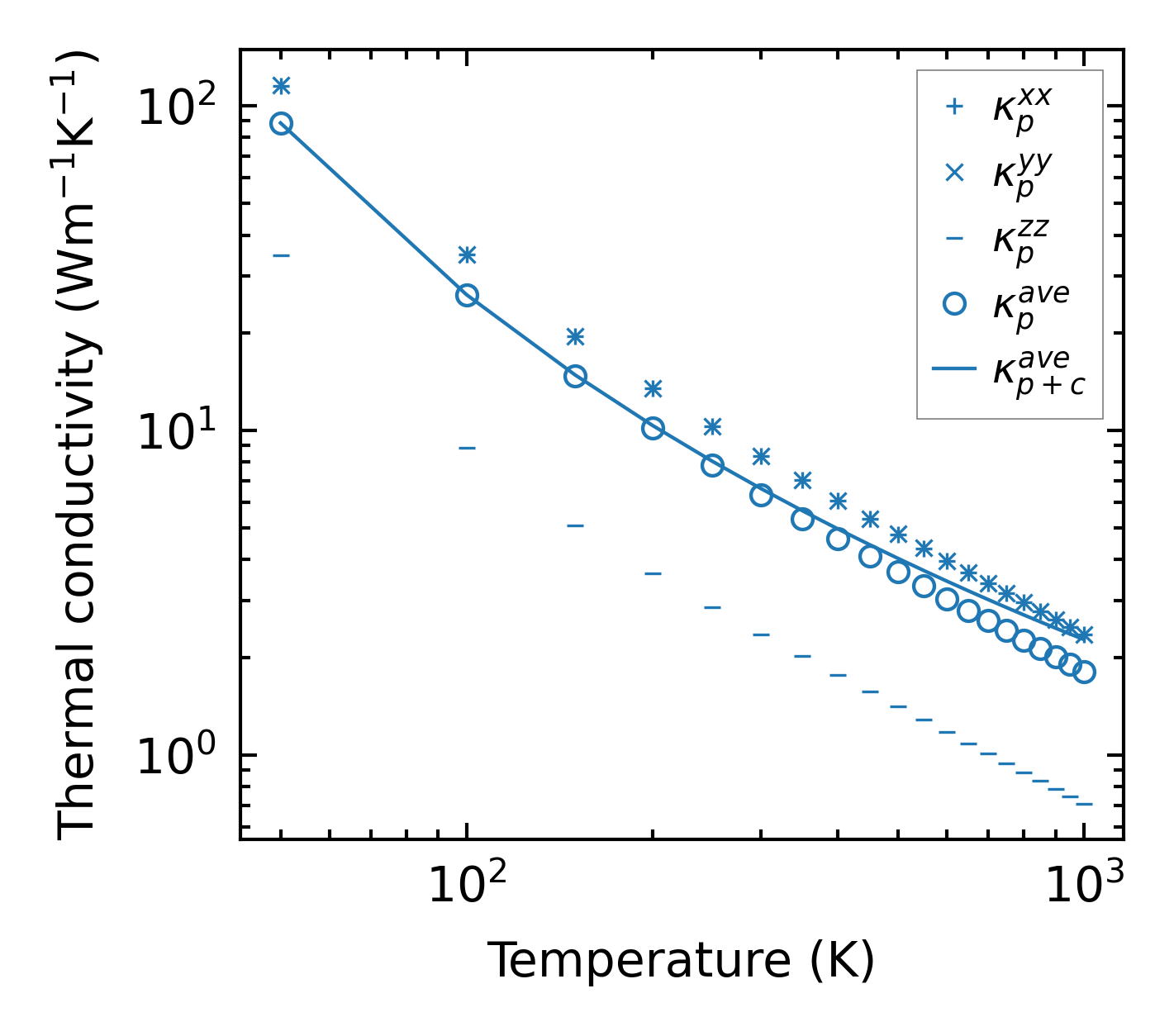
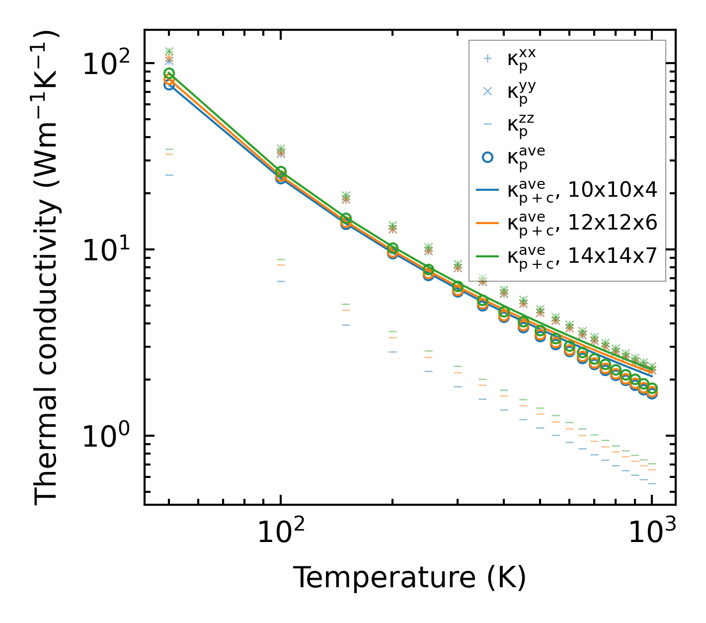
Thermal conductivity

3-phonon (LASSO) — q-mesh: 14x14x7, supercell: 2x2x1

../../_images/fig_kappa714.png

(a) Temperature-dependent lattice thermal conductivity

../../_images/fig_kappa_vs_grain_size372.png

(b) Peierls lattice thermal conductivity w.r.t grain size

Phonon lifetime and scattering rates

../../_images/fig_lifetime366.png

(a) Phonon lifetime due to phonon-phonon scattering

../../_images/fig_scat_rates365.png

(b) Phonon scattering rates

Cumulative and spectral thermal conductivity

../../_images/fig_cumu_frequency366.png

(a) Spectral and cumulative thermal conductivity w.r.t frequency

../../_images/fig_cumu_mfp366.png

(b) Spectral and cumulative thermal conductivity w.r.t MFP

Force constants

../../_images/fig_fc2460.png

(a) Force constants w.r.t atomic distance

Summary

../../_images/fig_kappa715.png

(a) Temperature-dependent lattice thermal conductivity

../../_images/fig_times802.png

(b) Computation time