mp-10778/RbPrSe2/anharm

Harmonic properties

../../_images/fig_bandos_pr644.png

(a) Phonon dispersion with participation ratio and DOS

../../_images/fig_thermo644.png

(b) Thermodynamic properties

Grüneisen parameters

../../_images/fig_gru_all424.png

(a) Grüneisen parameters

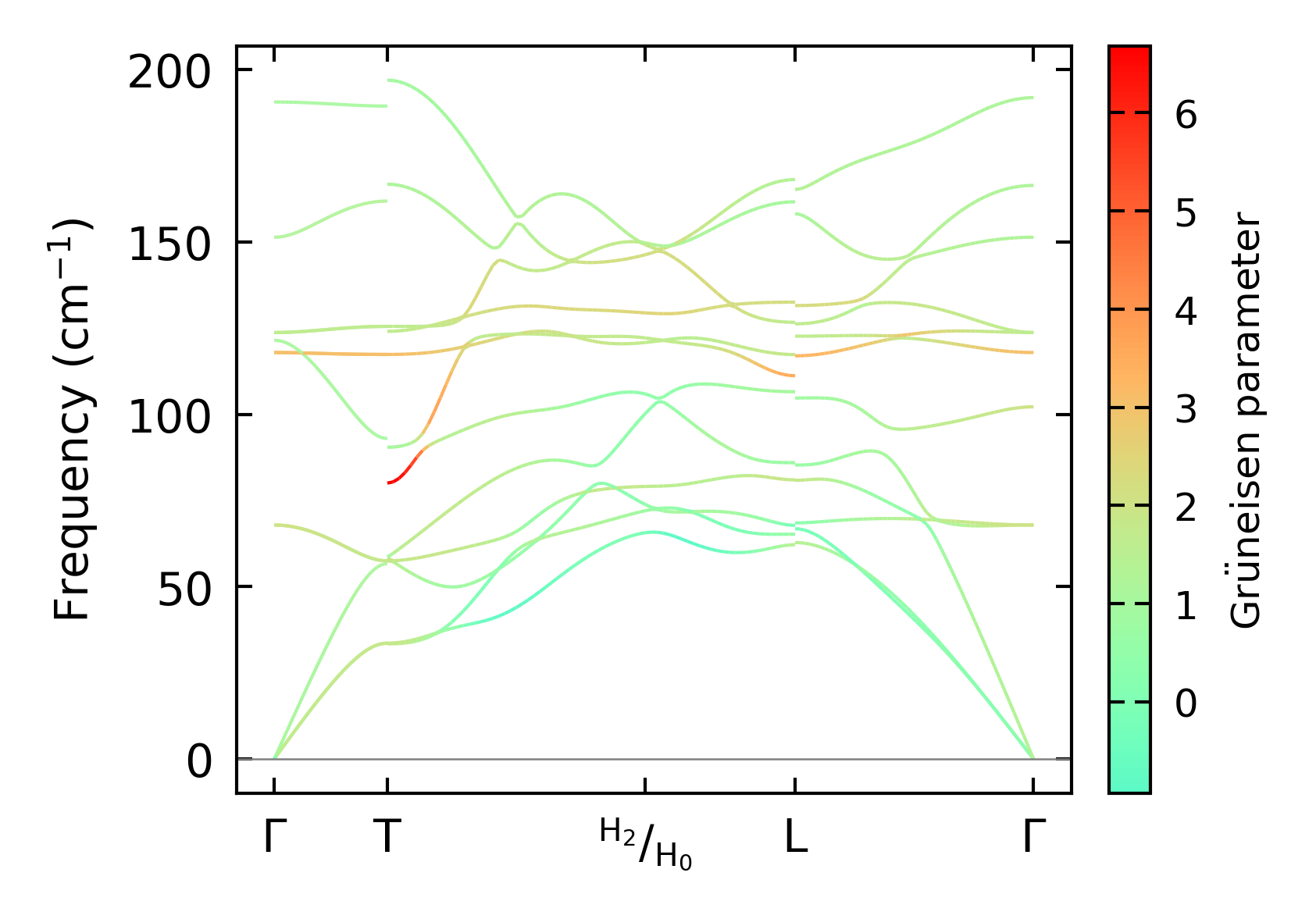
../../_images/fig_gruneisen424.png

(b) Phonon dispersion with Grüneisen parameters

Thermal conductivity

3-phonon — q-mesh: 14x14x14, supercell: 3x3x1

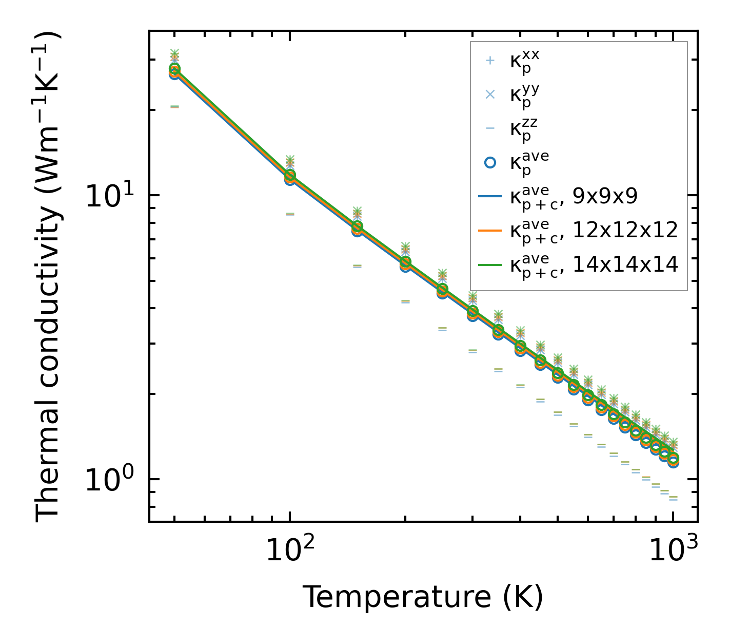
../../_images/fig_kappa825.png

(a) Temperature-dependent lattice thermal conductivity

../../_images/fig_kappa_vs_grain_size430.png

(b) Peierls lattice thermal conductivity w.r.t grain size

Phonon lifetime and scattering rates

../../_images/fig_lifetime422.png

(a) Phonon lifetime due to phonon-phonon scattering

../../_images/fig_scat_rates421.png

(b) Phonon scattering rates

Cumulative and spectral thermal conductivity

../../_images/fig_cumu_frequency422.png

(a) Spectral and cumulative thermal conductivity w.r.t frequency

../../_images/fig_cumu_mfp422.png

(b) Spectral and cumulative thermal conductivity w.r.t MFP

Force constants

../../_images/fig_fc387.png

(a) Force constants w.r.t atomic distance

Summary

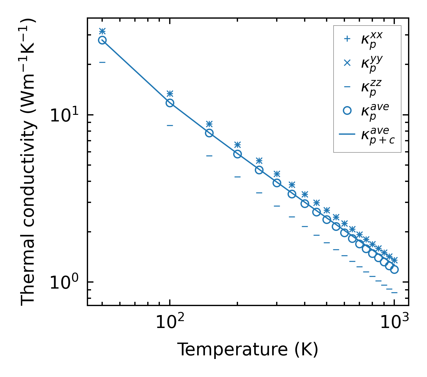
../../_images/fig_kappa826.png

(a) Temperature-dependent lattice thermal conductivity

../../_images/fig_times938.png

(b) Computation time