mp-10250/BaLiF3/anharm

Equation of state

../../_images/fig_bm169.png

(a) Equation of state

Harmonic properties

../../_images/fig_bandos_pr528.png

(a) Phonon dispersion with participation ratio and DOS

../../_images/fig_thermo528.png

(b) Thermodynamic properties

Grüneisen parameters

../../_images/fig_gru_all357.png

(a) Grüneisen parameters

../../_images/fig_gruneisen357.png

(b) Phonon dispersion with Grüneisen parameters

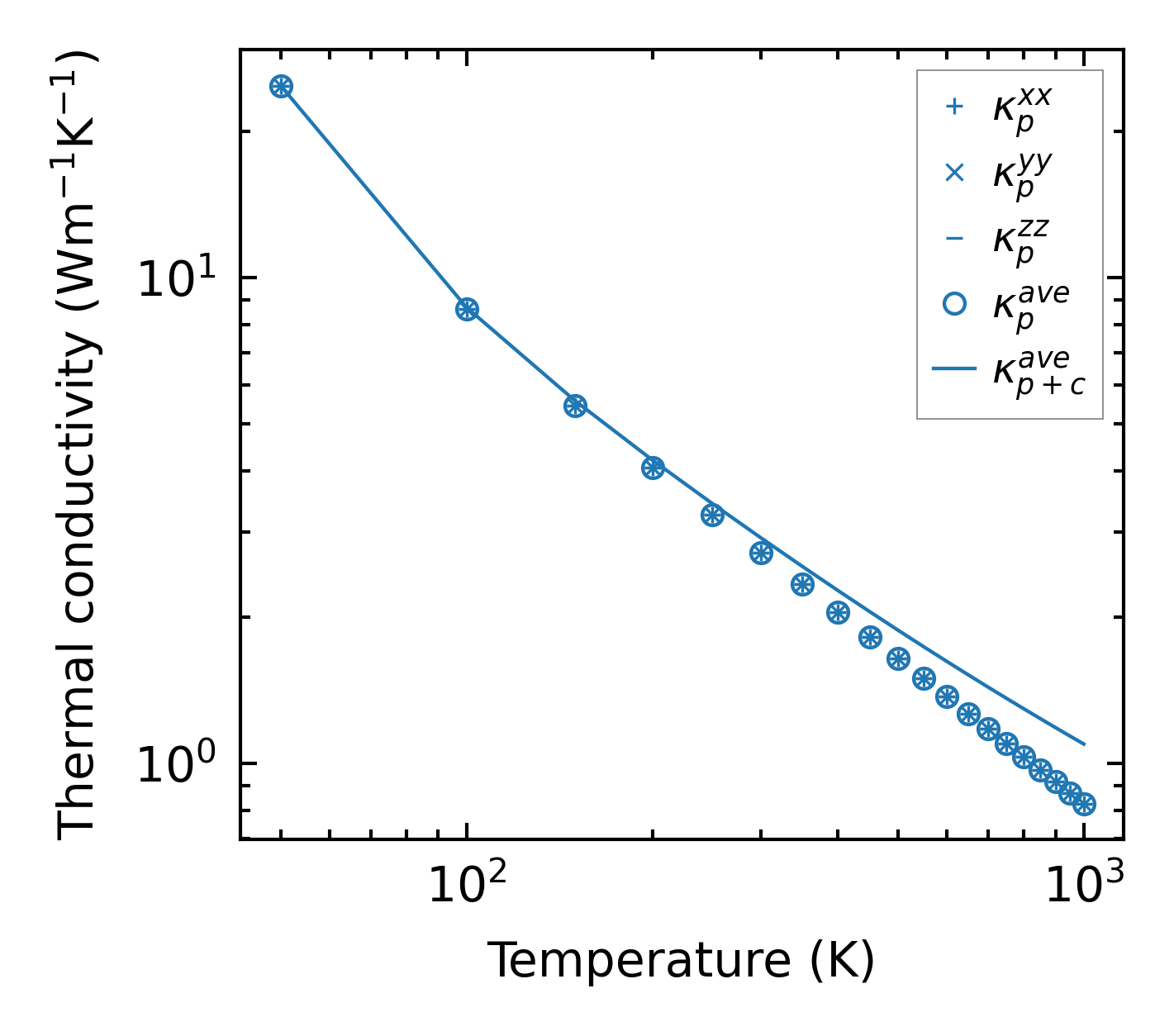
Thermal conductivity

3-phonon — q-mesh: 18x18x18, supercell: 3x3x3

../../_images/fig_kappa691.png

(a) Temperature-dependent lattice thermal conductivity

../../_images/fig_kappa_vs_grain_size360.png

(b) Peierls lattice thermal conductivity w.r.t grain size

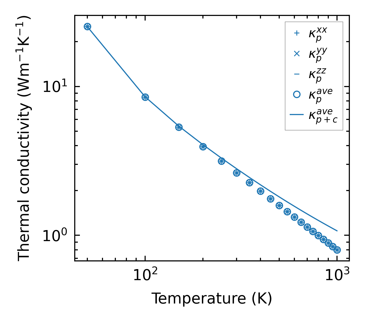
3-phonon, supercell 4x4x4 — q-mesh: 18x18x18, supercell: 4x4x4

../../_images/fig_kappa692.png

(a) Temperature-dependent lattice thermal conductivity

../../_images/fig_kappa_vs_grain_size361.png

(b) Peierls lattice thermal conductivity w.r.t grain size

Phonon lifetime and scattering rates

../../_images/fig_lifetime355.png

(a) Phonon lifetime due to phonon-phonon scattering

../../_images/fig_scat_rates354.png

(b) Phonon scattering rates

Cumulative and spectral thermal conductivity

../../_images/fig_cumu_frequency355.png

(a) Spectral and cumulative thermal conductivity w.r.t frequency

../../_images/fig_cumu_mfp355.png

(b) Spectral and cumulative thermal conductivity w.r.t MFP

Force constants

../../_images/fig_fc378.png

(a) Force constants w.r.t atomic distance

Summary

../../_images/fig_kappa693.png

(a) Temperature-dependent lattice thermal conductivity

../../_images/fig_times786.png

(b) Computation time