mp-10814-2/SrLiBO3/anharm

Equation of state

../../_images/fig_bm235.png

(a) Equation of state

Harmonic properties

../../_images/fig_bandos_pr660.png

(a) Phonon dispersion with participation ratio and DOS

../../_images/fig_thermo660.png

(b) Thermodynamic properties

Grüneisen parameters

../../_images/fig_gru_all434.png

(a) Grüneisen parameters

../../_images/fig_gruneisen434.png

(b) Phonon dispersion with Grüneisen parameters

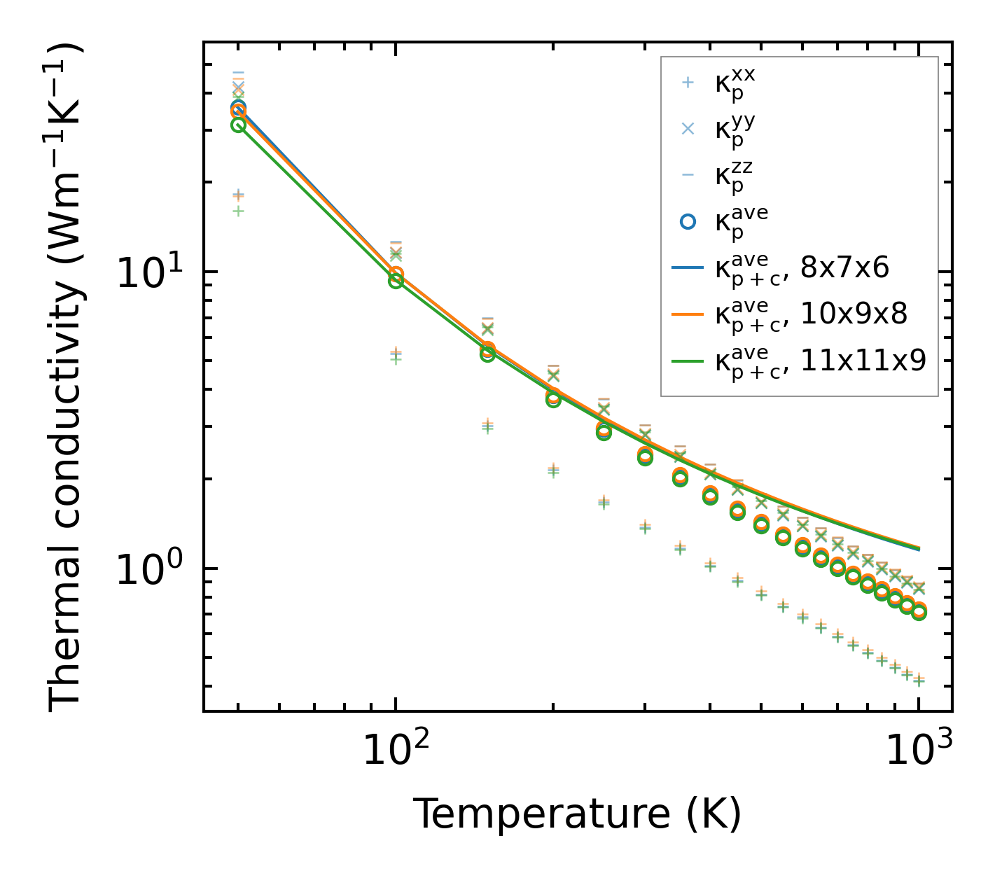
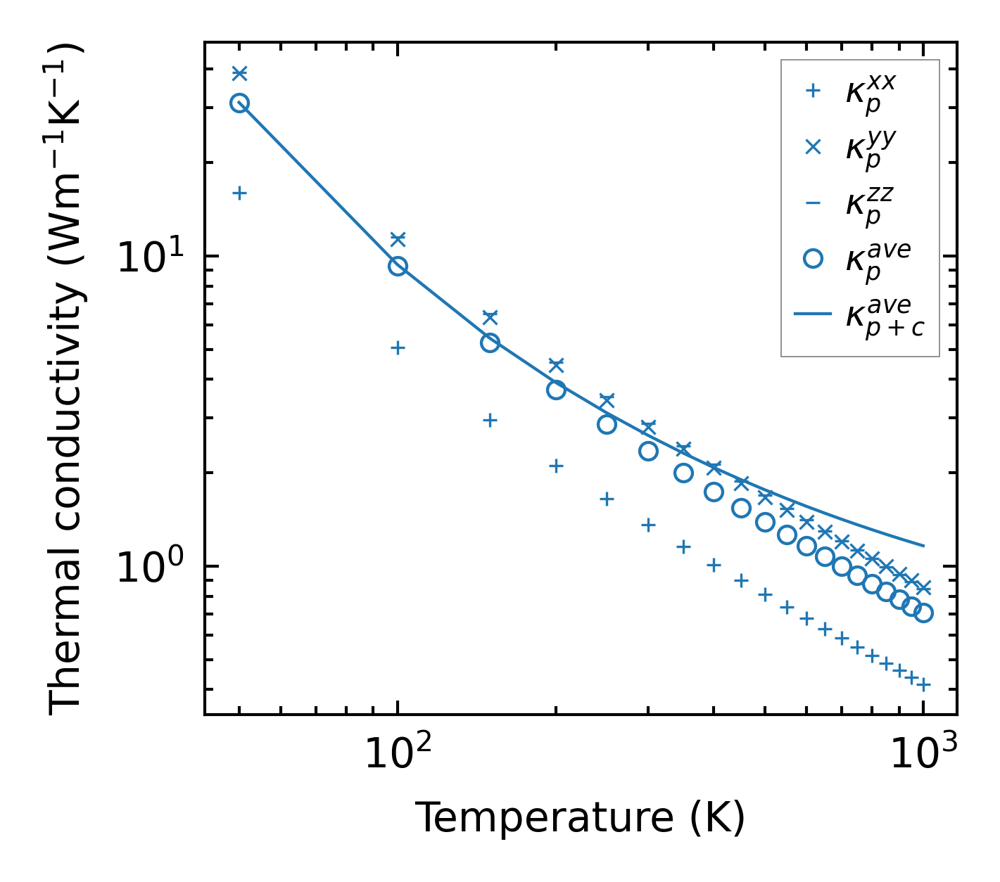
Thermal conductivity

3-phonon (LASSO) — q-mesh: 11x11x9, supercell: 2x2x1

../../_images/fig_kappa845.png

(a) Temperature-dependent lattice thermal conductivity

../../_images/fig_kappa_vs_grain_size441.png

(b) Peierls lattice thermal conductivity w.r.t grain size

Phonon lifetime and scattering rates

../../_images/fig_lifetime432.png

(a) Phonon lifetime due to phonon-phonon scattering

../../_images/fig_scat_rates431.png

(b) Phonon scattering rates

Cumulative and spectral thermal conductivity

../../_images/fig_cumu_frequency432.png

(a) Spectral and cumulative thermal conductivity w.r.t frequency

../../_images/fig_cumu_mfp432.png

(b) Spectral and cumulative thermal conductivity w.r.t MFP

Force constants

../../_images/fig_fc2571.png

(a) Force constants w.r.t atomic distance

Summary

../../_images/fig_kappa846.png

(a) Temperature-dependent lattice thermal conductivity

../../_images/fig_times956.png

(b) Computation time