mp-10935/NaErPO4F/anharm

Harmonic properties

../../_images/fig_bandos_pr680.png

(a) Phonon dispersion with participation ratio and DOS

../../_images/fig_thermo680.png

(b) Thermodynamic properties

Grüneisen parameters

../../_images/fig_gru_all451.png

(a) Grüneisen parameters

../../_images/fig_gruneisen451.png

(b) Phonon dispersion with Grüneisen parameters

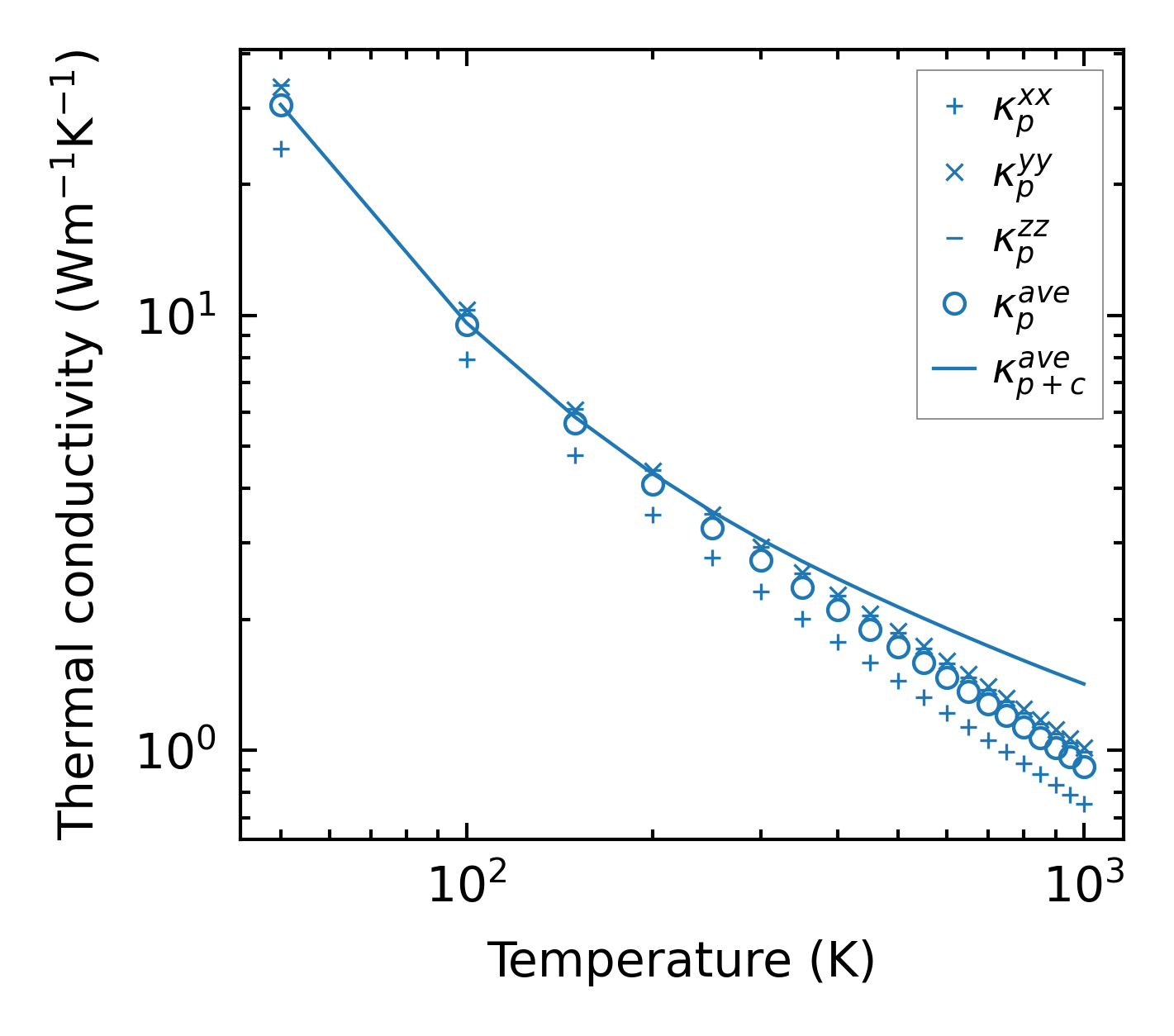
Thermal conductivity

3-phonon (LASSO) — q-mesh: 13x13x11, supercell: 1x2x2

../../_images/fig_kappa877.png

(a) Temperature-dependent lattice thermal conductivity

../../_images/fig_kappa_vs_grain_size458.png

(b) Peierls lattice thermal conductivity w.r.t grain size

Phonon lifetime and scattering rates

../../_images/fig_lifetime449.png

(a) Phonon lifetime due to phonon-phonon scattering

../../_images/fig_scat_rates448.png

(b) Phonon scattering rates

Cumulative and spectral thermal conductivity

../../_images/fig_cumu_frequency449.png

(a) Spectral and cumulative thermal conductivity w.r.t frequency

../../_images/fig_cumu_mfp449.png

(b) Spectral and cumulative thermal conductivity w.r.t MFP

Force constants

../../_images/fig_fc2591.png

(a) Force constants w.r.t atomic distance

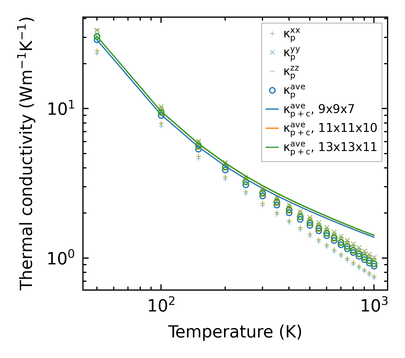
Summary

../../_images/fig_kappa878.png

(a) Temperature-dependent lattice thermal conductivity

../../_images/fig_times980.png

(b) Computation time